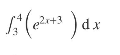
Beräkna den bestämda integralen

Hej. Jag undrar hur man ska tänka här. Det jag har gjort är att jag har deriverat e^2x+3 med hjälp av kedjeregeln . Därefter satte jag in 4 och 3 i uttrycken.. Är det rätt eller fel tänkt? Hur ska man tänka här?
Du tänker rätt men blandar sedan ihop den primitiva funktionen med funktionen själv när du beräknar integralens värde.
Om är en primitiv funktion till så gäller det att .
Men du beräknade istället .
========
Din funktion .
Vad är nu , dvs en primitiv funktion till ?
Hur kan jag beräkna
F(3)-F(4)?
är den primitiva funktionen inte
Nej, det du fått fram är samma funktion som innan (som den du skulle integrera över).
Inte säker men ser ut som att du gör nåt med inre derivatan 2 i både inre och yttre funktionen.
Bästa sättet att kontrollera att man har rätt primitiva funktion är att derivera den och se om man kom tillbaka till ursprungsfunktionen.
Här är din F(x):

Detta eftersom du får f(x) när du deriverrar den:
Ska jag bara förenkla nu för att få rätt svar?
Ja. Du behöver inte "C" i en integral eftersom den alltid försvinner.
Om du har med C måste du sätta hela det utvecklade F(3) inom parentes så att du får rätt tecken på det högra C:et
Är det rätt?
Det ser rätt ut (kanske aningen enklare att skriva som (e^11-e^9)/2).
Det viktiga är är att du
- förstår sambandet mellan en primitiv funktion F(x) och funktionen f(x), dvs F'(x) = f(x)
- vet hur du kan ta fram en primitiv funktion F(x).