Beräkna den dimensionerande värmeeffekten
hej jag undrar om nån kan hjälpa mig med den uppgiften
1-Beräkna den dimensionerande värmeeffekten,för var och en av de tre radiatorerna under fönstren,i ett hörnrum på översta planet i ett kontorhus.
Rummet har de invändiga måtten:djup 5m,bredd 8m och rumshöjd 3m.
I den längre ytterväggen sitter 3 fönster med bredden 2m och höjden 1,5m.
U{vägg) =0,25 W/(m^2.C)
U{tak} =0,15 W/(m^2.C)
U{fönster} =1,0 W/(m^2.C)
DVIT=20 C
DVUT=-18 C.
Hjälp Q= U.A. t [W].
Beräkna först de tre ytornas area.
Om du är osäker på formeln för att räkna ut effekt, kan du göra en s.k. sortanalys:
Jag förstår inte riktig .kan du vissa hur man räknar?jag förstår inte [ w] är det temperaturen. Tack
Vid sortanalys analyserar man sorterna som också kallas för enheterna.
Enheten för effekt är watt [W]
Enheten för yta är kvadratmeter []
Enheten för temperatur är grader Celsius [] eller egentligen...
SI-enheten för temperatur är grader Kelvin []
Skulle vara jätte tacksam om du visar räknesättet.
danielstrong skrev :Skulle vara jätte tacksam om du visar räknesättet.
Du har redan skissat på ett räknesätt, även om du inte använt de beteckningar (bokstäver) som man brukar.
P: Effekt mätt i watt [W]
A: Yta mätt kvadratmeter []...ytornas storlek klarar du väl att räkna ut?
: Temperatur-skillnad mätt i grader Celsius []
U: Värmegenomgångs-koefficient []
Rita ytorna ("på ett ungefär")!
Beräkna effekt-behovet för respektive yta och summera dom.
Blir det U vägg. 0,25* U tak 0,15* U fönster 1,0 * area 5*8*3* (-20 -18)= 171
stämmer det
Sätt in enheter i din formel. Om svaret har enheten Watt så kan det stämma. Om ditt svar har någon annan enhet, t ex (Watt gånger meter upphöjt till fyra), så är det fel någonstans.
Temperatur-skillnaden är 38 grader
Tack så jätte mycket nu förstår jag bättre
P vägg= 0,25 W/ (m/k) *120 m^2 rumshöjd * 38 grader= 1140w
P fönster= 1,0 W/ (m/k) * 3 m^2 fönster * 38 grader= 114w
P tak= 0,15 W/ (m/k) * är area till Tak samma som rumshöjd 120 m^2? Eller hur räknar man Area till tak? Sen förstår jag att man multiplicera med 38 grader Tack
Area vägg? Är 120m^2
Area Tak? Hur räknar man Area tak?
Area fönster? Är 3m^2
tack
Vad är area till vägg ? Vad är area till tak? Vad är area till fönster?jag förstår inte när djup på 5 m blir inblandad? Är det inte så att man räknar bred*höjde. Är area?
Har du ritat ytorna som jag tidigare sa? Det behöver inte vara en exakt ritning.
Läser du uppgiften, så förstår du att det är ett hörnrum...med två väggar.
Rita (skissa) särskilt väggen med fönstren
Jag tror vägg (Area) är 8 m * 3 m= 24 area
Tak är 8 m * 3 m= 24 area
Fönster är eftersom 3 st blir 3* 5 djup m+ 3 * 8 bredd m + 3 * 3rumshöjd m=48 m area
stämmer det?om det är fel kan du förklara
Du ritade aldrig...va?
Tre fönster:
Tak:
Vägg 1:
Vägg 2 minus tre fönster:
Det jag gjorde fel va att jag räknade alldrig vägg 2 minus 3st fönster,men du förklarade väldig bra.nu förstår jag hela den.tusen tack
Hej Affe.du förklarade föra uppgiften väldig bra.det finns en likadan uppgift som jag har lite problem.jag skriver här så du kan se.
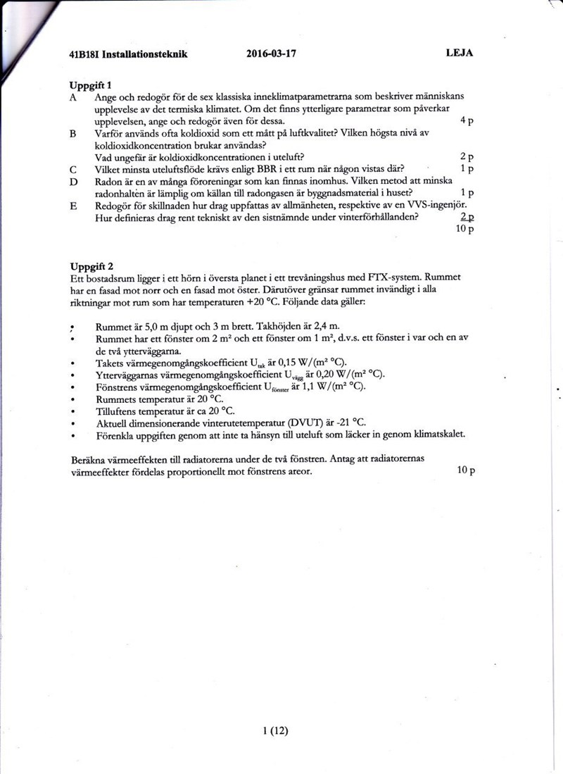
1-Ett bostadsrum ligger i ett hörn i översta planet i ett trevåninghus med FTX-system.Rummet har en fasad mot norr och en fasad mot öster.Därutöver gränsar rummet invändigt i alla riktningar mot rum som har temperatur +20 C.Följande data gäller
-Rummet är 5,0 m djup och 3 m brett.Tackhöjden är 2,4 m. -Rummet har ett fönster om 2 m^2 och ett fönster om 1 m^2,dvs ett fönster i var och en av de två ytterväggarna. -Takets värmegenomgångskoefficient U tak är 0,15 W/ (m^2 C). -Ytterväggarnas värmegenomgångskoefficient U vägg är 0,20 W/ (m^2 C). -Fönstrens värmegenomgångskoefficients U fänster är 1,1 W/ (m^2 C). -Rummet temperatur är ca 20 C. -Tilluften temperatur är ca 20 C. -Aktuell dimensionerande vinterutetemperatur (DVUT) är -21 C. -Förenkla uppgiften genom att inte ta hänsyn till uteluft som läcker in genom klimatskalet. Beräkna värmeeffekten till radiatorerna under de två fönstern.Antag att radiatorernas värmeeffekter fördelas proportionellt mot fönstrens areor.
Jag förstår att vi skall räkna
P vägg= U vägg * A vägg * T
P fönster= U vägg * A vägg * T
P tak= U tak * A tak * T
P totalt= P vägg + P fönster + P tak.
Area (tak) 5*3=15 m^2 Area
Area (Fönster) 2*(2*1)= 4 m^2 Area
hur hittar vi area till den ena och andra väggen?
Mvh daniel
Som du har antagit, så ska man nog bortse från kommentaren i uppgiften om FTX-system :-)
Försök rita rummet sett uppifrån. Det behöver inte vara i rätt skala.
Du ska bara rita en rektangel och skriva måtten på sidornas längder.
Då borde du kunna räkna ut ytan hos de två väggarna, när vägghöjden är given.
Area (tak) 5,0* 3= 15m ^2
Area (fönster 1) 2*2=4m^2
Area (fönster 2) 1*1. =1 m^2
Area (vägg 1) (5*2,4)-4= 8 m^2
Area (vägg 2) (3*2,4)-1=6,2
har jag räknat rätt alla area?kan du vara snäll och beskriva de. Tack
Rummet har de invändiga måtten:djup 5m,bredd 8m och rumshöjd 3m.
I den längre ytterväggen sitter 3 fönster med bredden 2m och höjden 1,5m.
Försök igen. Det är knappt en siffra som är rätt.
Smaragdalena skrev :
Rummet har de invändiga måtten:djup 5m,bredd 8m och rumshöjd 3m.
I den längre ytterväggen sitter 3 fönster med bredden 2m och höjden 1,5m.
Försök igen. Det är knappt en siffra som är rätt.
De flesta siffror tycks vara rätt!
Du har räknat två fönster "fönster 1", men jag tror det är bara ett sådant fönster.
Area (tak) 5,0* 3= 15m ^2
Area (fönster 1) 2*2=4m^2
Area (fönster 2) 1*1. =1 m^2
Area (vägg 1) (5*2,4)-4= 8 m^2
Area (vägg 2) (3*2,4)-1=6,2
har jag räknat rätt alla area?kan du vara snäll och beskriva de. Tack
Taket har fel area. Det skall vara 3 fönster med lika area. Båda väggarna har fel area. Jag får inte det till att "de flesta siffrorna tycks vara rätt", eftersom siffrorna sitter på fel ställe.
Däremot har Affe rätt siffror i ett tidigare inlägg.
Eller ligger det två uppgifter i samma tråd? Det är emot Pluggakutens regler, just därför att det blir så rörigt då.
Nej det är inte 2 uppgifter.som du kan se på uppgiften här det är 2 fönster i rummet.dvs en fönster i varje vägg.Den ena fönster är 2m^2 och andra 1 m^2 .
Det där är ju inte samma uppgift som du började med! Där skrev du
Rummet har de invändiga måtten:djup 5m,bredd 8m och rumshöjd 3m.
I den längre ytterväggen sitter 3 fönster med bredden 2m och höjden 1,5m.
Gör en ny tråd för "uppgift 2".
danielstrong, du har räknat alla ytor rätt, med undantag av att du räknat två fönster av typen "fönster 1", men det ska bara vara ett sådant fönster.
Sedan är det bäst att vi fortsättningsvis gör som Smaragdalena skriver....en tråd för varje uppgift :-)
Tack Affe .det skall jag göra.skall man räkna en p för varje enhet?jag menar så
p (tak)= U.A.T 0,15 W/ (m/C) * 15 m^2* (41) k=
P (fönster)= U*A*T. 1,1 W/ (m/c) * 4 m^2 * (41) k=
Det är 2 st areor vägg 1 och vägg 2 och 2 st areor fönster 1 och fönster 2?vilket Area på fönster 1 eller 2 skall man ta och vilket Area på vägg 1 eller 2 skall man ta?eller skall man ta area på tak fönster 1 och fönster 2 och Area på vägg 1 och vägg 2 att räkna med det formel P= U*A*T ? Och sen P= P+P+P
Jo, precis som för första uppgiften så gäller även för denna uppgift:
Summera ytornas kvadratmeter på lämpligt sätt.
Skillnaden i denna uppgift är att det finns två elradiatorer.
Du ska läsa noggrant hur du ska fördela på de två elradiatorerna
P (vägg)= 0,20 W/(m /C)* vi summerar Area vägg (8+ 6,2 )* 41 k=
P (Fönster)= 1,1 W/(m/C) varför kan vi inte summera?eller jag förstår inte vad du menar med fördela?eller varför skall vi fördela?
Tack
Du har inte varit uppmärksam på när jag skriver om hur många fönster det finns.
Area (tak) 5* 3= 15m^2
Area (fönster 1) 1*2=2m^2
Area (fönster 2) 1*1 =1 m^2
Area (vägg 1) (5*2,4)-2= 10 m^2
Area (vägg 2) (3*2,4)-1=6,2
Räkna ut
Läs dom två sista raderna i uppgiften noggrant
Här har du skapat en separat tråd för den här andra uppgiften - fortsätt där.. Den här tråden handlar om uppgiften i förstainlägget. Tråden låses.
