Beräkna den interna volymen
frågan:
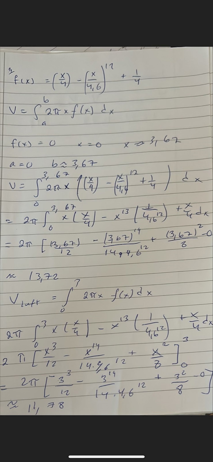
Saruman Har ett dryckesglas vars profil begränsas av funktionen f(x)=(((x)/(4)))-(((x)/(4.6)))^(12)+((1)/(4)) och x-axeln. Om man roterar funktionen runt y-axeln så får man volymen av glasmassan.
a) Beräkna volymen av glassmassan.
b) Beräkna den interna volymen
svar :harjagräknaträtt? 
kan någon snälla kolla, jag har vill veta ifall det är rätt eller int e
Funktionen ser märklig ut när jag plottar den, kan du lägga in en bild av uppgiften?

Saruman Har ett dryckesglas vars profil begränsas av funktionen ch x-axeln. Om man roterar funktionen runt y-axeln så får man volymen av glasmassan.a) Beräkna volymen av glassmassan.
b) Beräkna den interna volymen
b) Beräkna den interna volymen
Ja då har du en annan funktion än den du beräknade på.
Ska du prova själv, eller vill du ha hjälp, på a eller b?

Den beräkning du gjorde i ditt första inlägg var ok, när du beräknade glasmassan (bortsett från att du använde fel funktion) Däremot förstår jag inte hur du tänkte när du beräknade volymen på glaset.
Ture skrev:Ja då har du en annan funktion än den du beräknade på.
Ska du prova själv, eller vill du ha hjälp, på a eller b?
Den beräkning du gjorde i ditt första inlägg var ok, när du beräknade glasmassan (bortsett från att du använde fel funktion) Däremot förstår jag inte hur du tänkte när du beräknade volymen på glaset.
hur ska jag fortsätta räkna?