7
svar
110
visningar
abbeking06 behöver inte mer hjälp
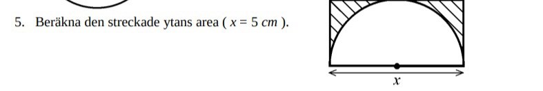
Beräkna den streckade ytans area.
Hej, Jag skulle behöva hjälp med en uppgift som lyder:
Jag vet formeln för en halvcirkel vilket är 3,14 * r2/2 men när jag använder den så får jag det till 9,8125 cm2 men facit säger 2,7 cm2. Vad gör jag för fel?
Tacksam för all hjälp.

Tror du missat att frågan är att du ska ta reda på det streckade området :)
Hur blir det jag har fått hjärnsläpp?
rektangelns area - halvcirkelns area
Jaha blir det såhär:
5 * 2,5 = 12,5 cm2 = rektangels area.
12,5 - 9,8125 = 2,68 avrundat till 2,7 cm2.
Helt riktigt.
Tack så mycket :) ska läsa uppgifterna mer nogrann nästa gång.
Alla missar vi något :)