Beräkna denna funktionaldeterminant

och
och funktionaldeterminanten ges ju av
Vill någon visa?
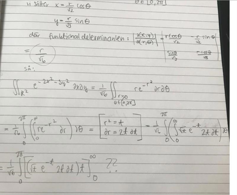
Du har alltså variabelbytet:
och då blir Jacobideterminanten:
Visst kommer du ihåg hur man beräknar en determinant?
Notera även att du måste ta absolutbeloppet av uttrycket du får, eftersom determinanten kan vara negativ om p.g.a. det här med vänster- och högersystem, men det bryr vi oss inte om när vi gör variabelbyten i integraler.
Ett annat alternativ är att veta att den "vanliga determinanten" för polära koordinater är lika med och därefter använda en determinantegenskap som jag beskrev här:
https://www.pluggakuten.se/trad/stokes-sats-8/?order=all#post-7b34a1f7-9d6f-4875-bf68-a9db01271664
AlvinB skrev:Du har alltså variabelbytet:
och då blir Jacobideterminanten:
Visst kommer du ihåg hur man beräknar en determinant?
Notera även att du måste ta absolutbeloppet av uttrycket du får, eftersom determinanten kan vara negativ om p.g.a. det här med vänster- och högersystem, men det bryr vi oss inte om när vi gör variabelbyten i integraler.
Ett annat alternativ är att veta att den "vanliga determinanten" för polära koordinater är lika med och därefter använda en determinantegenskap som jag beskrev här:
https://www.pluggakuten.se/trad/stokes-sats-8/?order=all#post-7b34a1f7-9d6f-4875-bf68-a9db01271664
Ja precis, det var bara de när det kom till polära koordinater som det blev lite kortslutning ^^^.
Tack!
AlvinB skrev:Du har alltså variabelbytet:
och då blir Jacobideterminanten:
Visst kommer du ihåg hur man beräknar en determinant?
Notera även att du måste ta absolutbeloppet av uttrycket du får, eftersom determinanten kan vara negativ om p.g.a. det här med vänster- och högersystem, men det bryr vi oss inte om när vi gör variabelbyten i integraler.
Ett annat alternativ är att veta att den "vanliga determinanten" för polära koordinater är lika med och därefter använda en determinantegenskap som jag beskrev här:
https://www.pluggakuten.se/trad/stokes-sats-8/?order=all#post-7b34a1f7-9d6f-4875-bf68-a9db01271664

Men jag fastnar här...
Vid beräkning av -integralen kan du utnyttja att derivatan av funktionen är .
Vid beräkning av -integralen kan du utnyttja att integranden inte beror av .