Beräkna derivata utifrån en funktion
Hej!
Behöver bara en liten förklaring:
Uppgiften var att beräkna derivatan i punkten B= -2 utifrån funktionen f(x)= x^2 + 2x
så det gjorde jag..
när x=-2, då är gränsvärdet av ändringskvoten odefinierad
genom faktorisering så blir den nya funtionsvärdet: f(-2)= x (x+2)
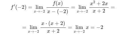
och derivatan av detta då blir då enligt denna formeln:

men som sagt går det inte att sätta x=-2 eftersom:
för kvoten blir = 0,
och man vill inte räkna lutningen mellan -2 och -2 så...
därför blir den nya formeln

MEN min fråga är: om man tar bort f(x) från täljaren (då man inte vill räkna lutningen mellan -2 och -2) varför förkortar man inte bort ett av x:en från nämnaren med?..
Derivatan är ett gränsvärde av tyoen 0/0. I ditt fall är kvoten (x^2+2x)/(x+2). Vad är det du undrar över? Man har inte "tagit bort f(x) från täljaren".
Det är ett obegripligt omständligt resonemang. Om du ska beräkna f'(-2), och f'(x) är 2x+2 så blir det f'(2)=-2. Derivatans definition är f'(x) = lim (f(x+h)-f(x))/h där h -> 0. Ingenting är odefinierat för x = -2.
Jag har kanske tänkt fel, eller det kanske bara är så formeln skall vara.. men jag trodde att formeln för derivatan skulle vara

men det går ju inte då man inte vill räkna ut lutningen mellan -2 och -2
så formeln blir istället 
jag förklarar kanske dåligt, med "ta bort" menade jag att täljaren inte är f(x)- f(-2) längre utan endast f(x)..
Bör i och för sig fungera med den första formeln - inte den andra. Då har du i täljaren och i nämnaren x + 2. Det låter sig förenklas ganska prydligt, fortfarande utan omständliga resonemang.
Det är just lutningen vid x = -2 man vill räkna ut, inte mellan -2 och -2 men mellan -2 och -1,9999999999999999999999999999999999999999999999999999999999999999999999999.
Ja men precis, det stämmer att
Om man ska t.ex beräkna f'(-2), och f'(x) är x(x+2) så blir det f'(2)=-2.
då man använder formeln,

när man räknar på detta viset så är ingenting odefinierat för x=-2
Är det anledningen till varför man skiver om formeln under
till

Men jag trodde alltså det skulle stå såhär i täljaren f(x)- f(-2)
dvs
f(x) - x(x+2) (eftersom f(-2) = x(x+2) )
men istället var formeln:
x+(x+2) / ( x-(-2)
detta beror kanske på att man inte vill veta lutningen i samma punkt -2?
som du säger HT-borås:
Det är just lutningen vid x = -2 man vill räkna ut, inte mellan -2 och -2 men mellan -2 och -1,9999999999999999999999999999999999999999999999999999999999999999999999999.
Men isåfall undrade jag varför man inte tar bort ett x också från nämnaren och gör nämnaren till endast -2?
kanske för att det helt enkelt inte går att göra så när man sätter in värdena
eller så överanalyserar jag detta.
Tack för förklaringen Ht-Borås!
Ja, du överanalyserar det. Jag vet inte vad du menar med att "man" skriver om formeln till något som inte är giltigt - var kommer det ifrån?
Haha. Med "man" menade jag "Vi" i homo sapiens, "wise man".
Man skriver inte om formeln, jag vet det nu..som du säger räknade jag också ut senare att formeln inte ens är giltig så man ska inte skriva om något annat än det vi har nämnt.
Tack återigen, :')