2
svar
434
visningar
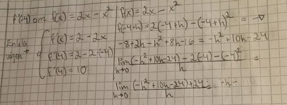
Beräkna derivatans h-definition f prim(−4) om 2 f (x) = 2x − x
- Jag vet att svaret kommer bli 10 men vet inte hur jag ska fortsätta från lim. Hur ska jag förenkla den så att jag kan få fram svaret i h-definitionen?

Kan du förenkla -24+24?
Laguna skrev:Kan du förenkla -24+24?
Ja jag kom på hur jag kunde lösa den! De tar ju ut varann å då blir det -hupphöjt till 2 + 10h, som jg sedan kan faktorisera. Å då får jag -h+10 kvar. Då kan jag sätta in 0 istället för h vilket blir 10.