Beräkna det markerade områdets area


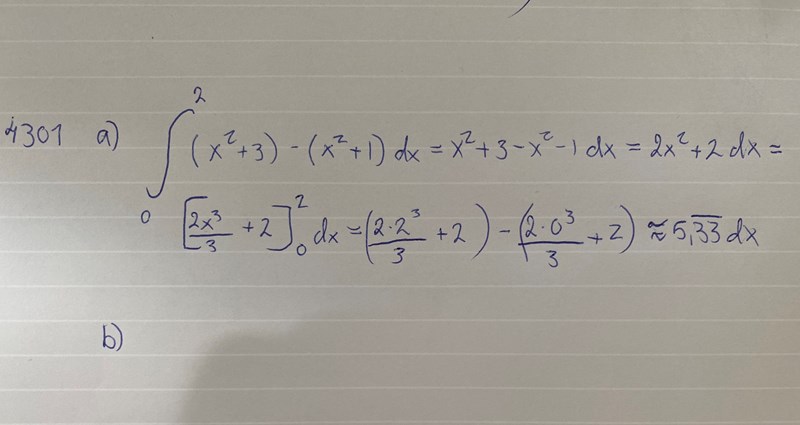
Hej, jag skulle behöva förstå var det blev fel i uträkningen, själv tror jag att det blev när jag förenklade uttrycket till men jag är osäker på hur jag skulle förenkla det annars.
Tacksam för enkel förklaring :))
Det är en liten miss i uträkningen som du gjort:
Sedan bör du behålla integraltecknen även om du skriver ut dx. Det underlättar för läsningen och är mer korrekt.
Bedinsis skrev:Det är en liten miss i uträkningen som du gjort:
Sedan bör du behålla integraltecknen även om du skriver ut dx. Det underlättar för läsningen och är mer korekt.
Ja, så gjorde jag först men det blev inte heller rätt... Svaret ska bli 4 ae, blir den primitiva funktionen av 2 4?
Du har gjort ett räknefel vid förenkling av skillnadsuttrycket - x-termerna tar ut varandra och det blir bara termen 2 kvar
Den primitiva funktionen till funktionen f(x)=2 ges av F(x)= 2*x.
Bedinsis skrev:Den primitiva funktionen till funktionen f(x)=2 ges av F(x)= 2*x.
Okej då förstår jag äntligen, tack för hjälpen :)