4
svar
242
visningar
03viksjo behöver inte mer hjälp
Beräkna det markerade områdets area
Jag förstår inte hur jag ska sätta upp integralen för att räkna ut det färgade området, kan någon hjälpa mig?

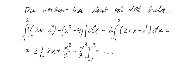
Jan Ragnar skrev:
Tack för ditt svar! Hur vet jag att jag ska ta det i den ordningen?
Arean mellan två kurvor är lika med integralen av den övre funktionen minus den undre funktionen.
I det aktuella intervallet är y = 2x - x2 den övre funktionen.
Yngve skrev:Arean mellan två kurvor är lika med integralen av den övre funktionen minus den undre funktionen.
I det aktuella intervallet är y = 2x - x2 den övre funktionen.
Tack för hjälpen!
