Beräkna det skuggade området
Visa spoiler
Skriv ditt dolda innehåll här
uppgift b).
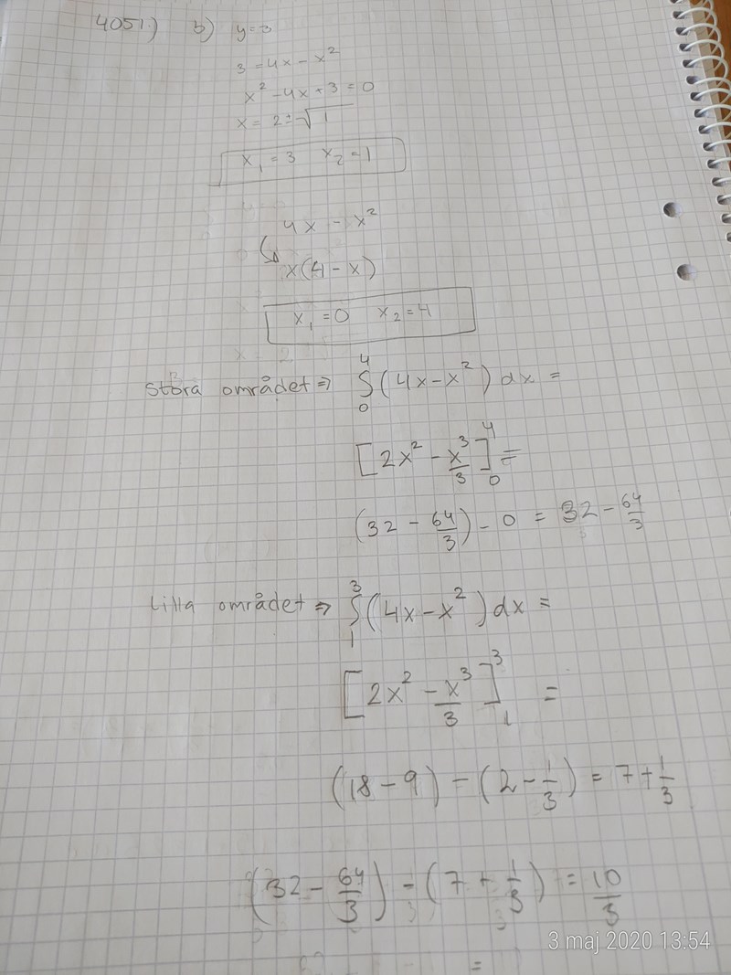
Här är min uträkning men något måste bli fel då det inte stämmer med facit
Så du har räknat vad integralen från 0 till 4 minus integralen från 1 till 3 är.
Du borde med andra ord ha utfört följande uträkning:

Bedinsis skrev:Så du har räknat vad integralen från 0 till 4 minus integralen från 1 till 3 är.
Du borde med andra ord ha utfört följande uträkning:
Okej, jag förstår.. det är detta jag inte riktigt fattar med intergralerna. Hur bör jag göra istället? Vet inte hur jag skall ta reda på arean av det "lilla" området
När du räknar det lilla området måste du räkna enligt:
Om du för ett ögonblick fullständigt ignorerar allt du kan om integraler: den blåa biten du hittills inte räknat med: vad är det för ett geometriskt objekt? Hur skulle du räkna ut arean av en sådan?
Du har ju arean av de två gröna bitarna i den sista figuren.
Bedinsis skrev:Om du för ett ögonblick fullständigt ignorerar allt du kan om integraler: den blåa biten du hittills inte räknat med: vad är det för ett geometriskt objekt? Hur skulle du räkna ut arean av en sådan?
Du har ju arean av de två gröna bitarna i den sista figuren.
Okej jag förstår jag adderar bara arean av rektangeln. Men finns det ett "bättre" sätt att räkna ut uppgiften på? Utan att behöva göra det i två steg?
Jag tror inte det finns någon lösning som inte kräver åtminstone två steg. Sedan är väl frågan vilket sätt som är lättast att tänka på.
Skulle jag löst uppgiften skulle jag antagligen tagit
Metoden som tomast80 förespråkar skulle antagligen leda till
Bedinsis skrev:Om du för ett ögonblick fullständigt ignorerar allt du kan om integraler: den blåa biten du hittills inte räknat med: vad är det för ett geometriskt objekt? Hur skulle du räkna ut arean av en sådan?
Du har ju arean av de två gröna bitarna i den sista figuren.
Tack för hjälpen! Uppskattar det verkligen! Men. Det är faktiskt inte så trevligt att bemöta någon på det sättet som du bemötte mig. Jag tycker det är svårt med integraler och är du ett mattegeni. Good for you. Men det här sidan handlar om att hjälpa andra med matte.
Mitt syfte var inte att klanka ner på dig eller att vara spydig. Integraler ÄR jobbiga, så jag försökte få dig att se att det var någonting som faktiskt inte är så svårt att räkna ut arean på.
Hur tycker du jag borde ha uttryckt mig?
Tro mig, jag vet att det kan vara svårt att fråga om hjälp, så jag vill inte formulera mig på ett sätt som avskräcker folk från att fråga om hjälp.
Bedinsis skrev:Mitt syfte var inte att klanka ner på dig eller att vara spydig. Integraler ÄR jobbiga, så jag försökte få dig att se att det var någonting som faktiskt inte är så svårt att räkna ut arean på.
Hur tycker du jag borde ha uttryckt mig?
Tro mig, jag vet att det kan vara svårt att fråga om hjälp, så jag vill inte formulera mig på ett sätt som avskräcker folk från att fråga om hjälp.
Jag vill faktiskt be om ursäkt till dig. Läste om det du skrev igen och tolkade det som något drygt när det egentligen inte var det. Så tack för att du redde ut det. Jag är ledsen för att jag tolkade in det fel, har varit med om att jag fått lite spydiga svar tidigare på sidan, så det spelade nog in. Men ett genuint tack för hjälpen, du är väldigt pedagogisk:)