Beräkna det totala flödet ut genom en begränsningsyta, flödesintegral.
Uppgift:
Hastighetsfältet i en vätskeströmning är Beräkna den vätskevolym som strömmar ut per tidsenhet från området som begränsas av xy-planet och paraboloiden D.v.s. det totala FLÖDET UT genom begränsningsytan:

Som synes på bilden ovan så kan vi tänka oss att vi har två ytor S1 och S2 där jag låter S1 vara den cirkelskivan i XY-planet och S2 vara den "buktiga" ytan som är paraboloidens yta.
--------------------------
Mitt försök på lösning:
Låt oss börja med att försöka beräkna flödet genom S1.
Givet får vi att S1 beskrivs av .
Vi börjar med att beräkna normalvektor-ytelementet för S1 enligt .
Jag väljer att parametrisera på följande vis.
eftersom vi vill ta reda på flödet UT ur ytan har jag valt negativt tecken på denna normalvektor.
Alltså blir normalvektor-ytelementet =
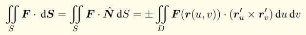
Nu tillämpar jag följande formel och får fram: där jag integrerar över en cirkelskiva med radie 1. Kvar är att lösa denna dubbelintegral med hjälp av till exempel polära koordinater. Enkelt!

Va bra, då var flödet för yta S1 beräknat!
-------------------------------------------------------------------------------------------------------
Nu är det dags att titta på yta S2. Genom att följa liknande process som för S1 så får jag fram följande.
normalvektor-ytelementet = med parametriseringen
vilket i sin tur ger följande integral
.
Det är här jag fastnar nu därför att jag inte förstår/vet hur jag skall gå tillväga för att få fram integrationsgränserna för denna dubbelintegral. Jag vet inte hur området jag integrerar över ser ut eller ens vad det är.
All hjälp uppskattas!
Är det inte samma område i xy-planet?
Laguna skrev:Är det inte samma område i xy-planet?
Det vet jag inte därav varför jag sökte mig till denna sida.
Om det nu är det, hur kommer jag fram till den faktan?
Laguna skrev:Är det inte samma område i xy-planet?
Ping
Det här var då den bästa frågan jag sett på pluggakuten. Du har en egen lösning, bilden är inte suddig, rubriken är bra och den är uppstrukturerad och skriven på bra svenska. Om jag får din adress kan jag skicka en valfri bakelse till din dörr.
Jag kan dessvärre inte hjälpa.
Edit: nej, det var jag som såg fel!
Du verkar ha ett teckenfel på ytnormalen
Området du ska integrera över är området du parametriserade över.
Du har parametriserat ett cirkelområde med radie 1 i xy planet. För varje värde på x och y i området är z-koordinaten .
--------------------------------------------------------------------------------------
Tips: Ett betydligt enklare sätt att lösa det här problemet är att använda Gauss' sats.
Jroth skrev:Edit: nej, det var jag som såg fel!
Du verkar ha ett teckenfel på ytnormalen
Området du ska integrera över är området du parametriserade över.
Du har parametriserat ett cirkelområde med radie 1 i xy planet. För varje värde på x och y i området är z-koordinaten .
--------------------------------------------------------------------------------------
Tips: Ett betydligt enklare sätt att lösa det här problemet är att använda Gauss' sats.
Hmm, Gauss sats säger du. Då försöker vi använda den!
Ser detta rätt ut?
Jag har använt mig av cylindriska koordinater.
Ja, bra :)
Jroth skrev:Ja, bra :)
Hmm, facit säger att flödet ut ur S2 är .
Gauss sats:
Område för integralen i V.L = S2
Område för integralen i H.L = området som begränsas av xy-planet och paraboloiden .
vektorfältet i uppgiften
ger i cylindriska koordinater
z går från 0 ->
r går från 0 -> 1
går från 0 ->
känns ju som det borde vara rätt integral för att å fram flödet ut ur ytan S2 men den ger ju och rätt svar enligt facit är .
Nej, Gauss sats säger att det totala flödet ut ur det begränsade området V med den totala begränsningsytan S relateras till divergensen i området V enligt
Det du har räknat ut med din integral, är alltså det totala flödet ut genom hela begränsningsytan (båda med utåtriktade normaler).
Är du med?
Jroth skrev:Nej, Gauss sats säger att det totala flödet ut ur det begränsade området V med den totala begränsningsytan S relateras till divergensen i området V enligt
Det du har räknat ut med din integral, är alltså det totala flödet ut genom hela begränsningsytan (båda med utåtriktade normaler).
Är du med?
Jaha okej. Då blir ju flödet ut ur endast yta S2 = vilket leder oss till rätt svar till mitt delproblem jag ville lösa.
Så det går alltså inte att använda Gauss sats för att få fram endast flödet ut ur S2 i detta fall?
Jag missade att du menade att hela problemet kan lösas med Gauss sats, jag tolkade ditt svar som att jag kunde använda Gauss sats för att lösa mitt delproblem, som var att få fram endast flödet ur S2.
Få fram flödet ur S2 kan man ju då alltså få fram antingen genom att utnyttja att jag har totala flödet och flödet ur S1. Alternativt utnyttja informationen du gav "Området du ska integrera över är området du parametriserade över.". Alltså blir det en enkel dubbelintegral över en cirkelskiva med radie 1.
D.v.s. denna integral efter jag satt in istället för x och istället för y.
=
Qetsiyah skrev:Det här var då den bästa frågan jag sett på pluggakuten. Du har en egen lösning, bilden är inte suddig, rubriken är bra och den är uppstrukturerad och skriven på bra svenska. Om jag får din adress kan jag skicka en valfri bakelse till din dörr.
Jag kan dessvärre inte hjälpa.
Hahahahahahaha, efter tidigare brutalt misslyckade inlägg i det här forumet av mig så tog jag äntligen mig själv i kragen och fixade till ett ordentlig inlägg för en gång skull! Härligt att det uppskattas.
Ja, tanken med att använda Gauss' sats var att lösa hela problemet på en gång och helt slippa parametrisering och beräkning av normaler.
Som du säger kan man också använda Gauss' sats för att beräkna flöden genom enskilda ytor genom att dra ifrån bidragen från de övriga ytorna.
Det är användbart när du får en väldigt krånglig yta att beräkna integralen över samtidigt som "bottenytan" eller någon annan yta ger en relativt enkel integral.
Ibland sluter man till ytor (man lägger alltså till t.ex. ett lock eller en bottenplatta) för att skapa slutna volymer bara för att kunna använda Gauss' sats på någon klurig buktig yta.
Jroth skrev:Ja, tanken med att använda Gauss' sats var att lösa hela problemet på en gång och helt slippa parametrisering och beräkning av normaler.
Som du säger kan man också använda Gauss' sats för att beräkna flöden genom enskilda ytor genom att dra ifrån bidragen från de övriga ytorna.
Det är användbart när du får en väldigt krånglig yta att beräkna integralen över samtidigt som "bottenytan" eller någon annan yta ger en relativt enkel integral.
Ibland sluter man till ytor (man lägger alltså till t.ex. ett lock eller en bottenplatta) för att skapa slutna volymer bara för att kunna använda Gauss' sats på någon klurig buktig yta.
Då är vi fullt på samma sida nu.
Tack så mycket för hjälpen!!