3
svar
166
visningar
Beräkna determinanten
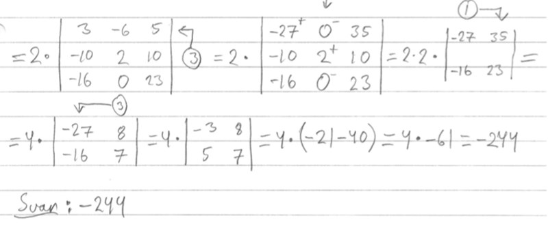
Hur fick dom 35 och 23 till 8 och 7?
En 3x3 matris får 3st 2x2 determinatner i beräkningen. Skriv upp det så, då blir det lättare att hjälpa dig.
oneplusone2 skrev:En 3x3 matris får 3st 2x2 determinatner i beräkningen. Skriv upp det så, då blir det lättare att hjälpa dig.
Den är egentligen 5x5 men jag förstår inte sista raden där dom multiplicerar med 1 och 3 hur vet man vad man ska multiplicera med? kan man strunta i multiplexeringen och direkt räkna ut det med stora dvs-27 , -16 , 35, 23?
Hen lägger första kolonnen till den andra. Det ändrar inte determinantens värde. 35-27 = 8; 23-16 = 7. Sedan lägger hen 3 gånger andra kolonnen till den första, ändrar inte heller determinantens värde.