Beräkna dubbelintegralen. Förstår ej vad jag gör för fel.
Hej! Jag har problem med en fråga som lyder såhär:
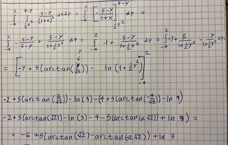
Jag har ritat upp området, bestämt gränserna för min integral och bestämt att börja integrera med avseende på x.
Det verkade lättast att integrera med avseende på x först för då slapp jag att dela upp integralen i två olika integraler. Gränserna för x-integralen borde bara bli x = (1/2)y^2 och x = 4-y. Gränserna i y-led borde bli där kurvorna skär varandra, vilket jag har räknat ut ska vara då y = 2 och då y = -4.
Så jag ställde upp dubbelintegralen och beräknade den. Först bestämde jag en primitiv funktion med avseende på x och sedan en primitiv funktion med avseende på y. Men jag får fel svar och förstår inte vad jag gör för fel. Jag har tittat igenom mina beräkningar flera gånger. Stort tack på förhand.


Åhh, tack så mycket.
