[Vektoranalys] Beräkna elektriska fältet längs z-axeln

Uppgiften går ut på att bestämma elementen dS', r, r' samt att använda detta för att beräkna integralen.
Jag tycker cylindriska koordinater verkar lämpligt, men jag tror att jag bestämmer elementen fel för den resulterande integralen blir mycket svårhanterad:
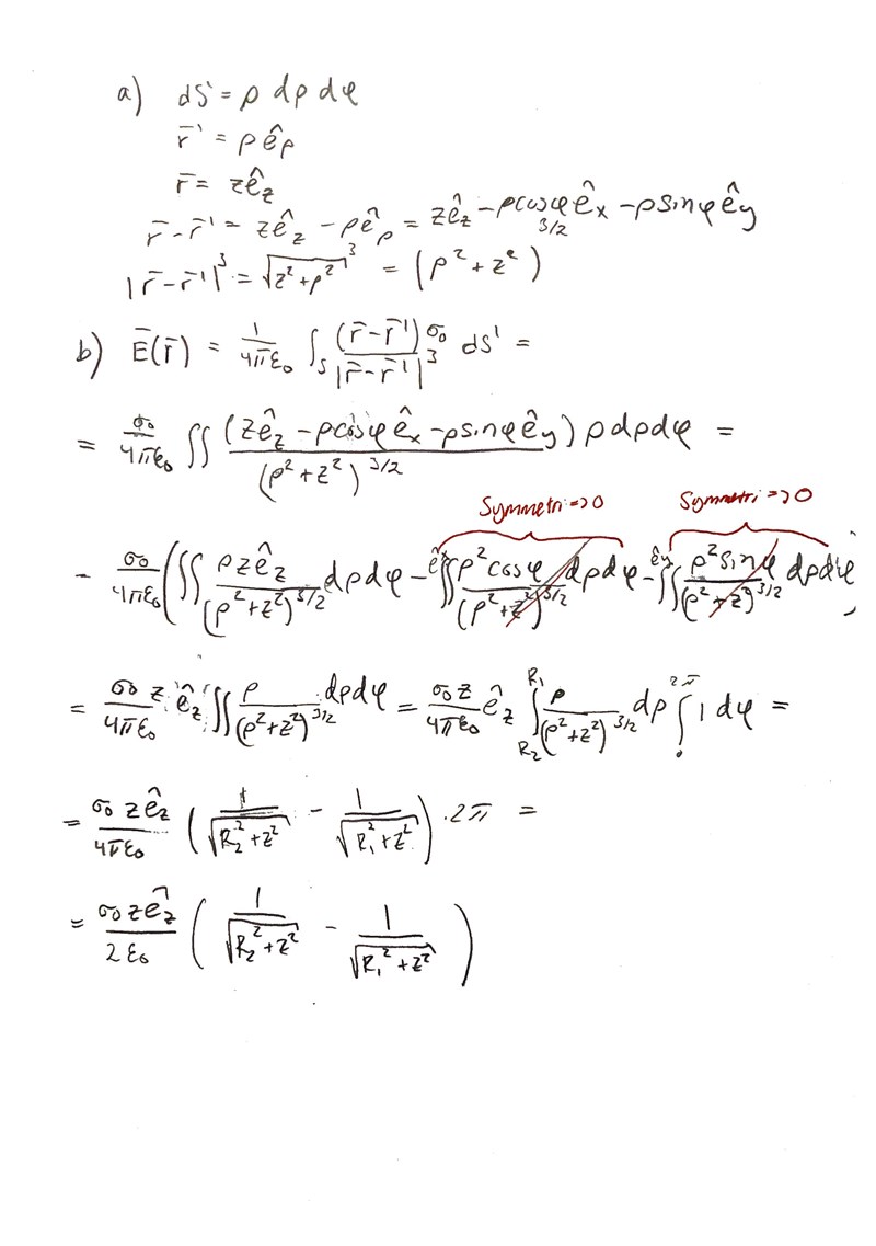
dS'=ρ *dρdφ
r = z*êz (där êz är en enhetsvektor i cylinderkoordinater)
r' = ρêρ
även
ρ: R2 --> R1
φ: 0 --> 2π
Jag får väldigt svårt att lösa den resulterande integralen, har någon tips på vad som kan gå fel?
Välkommen till Pluggakuten!
Omdet blir knepigt med cylindriska koordinater kanske det blir bättre med polära?
Smaragdalena skrev:Välkommen till Pluggakuten!
Omdet blir knepigt med cylindriska koordinater kanske det blir bättre med polära?
I detta sammanhang är det väl samma, eftersom vi inte integrerar över z-axeln? Vidare är jag ganska säker på att mina element är felbestämda, men jag vet inte riktigt hur de ska bestämmas istället.
I detta sammanhang är det väl samma, eftersom vi inte integrerar över z-axeln?
Varför tror du det? Det är väl ingenting som säger att punkten r ligger i samma plan som ytan S?
Var i uppgiften står det att skall ligga på z-axeln?
Det kan vara lättare att först beräkna potentialen via integration och sedan räkna ut fältstyrkan genom att beräkna gradienten av potentialen.
Smaragdalena skrev:I detta sammanhang är det väl samma, eftersom vi inte integrerar över z-axeln?
Varför tror du det? Det är väl ingenting som säger att punkten r ligger i samma plan som ytan S?
Det är väl därför jag väljer vektorn r som z*êz ? Ledsen, förstår inte riktigt hur du menar. Integreringen ska ju ske utöver ytan som jag förstår det, alltså inte i z-led.
PATENTERAMERA skrev:Var i uppgiften står det att skall ligga på z-axeln?
Det kan vara lättare att först beräkna potentialen via integration och sedan räkna ut fältstyrkan genom att beräkna gradienten av potentialen.
Ledsen, det står precis under där jag klippt att man ska beräkna fältet längs z-axeln.
Ledsen, det står precis under där jag klippt att man ska beräkna fältet längs z-axeln.
Lägg in HELA uppgiften i ett nytt inlägg. Hur skulle vi kunna hjälpa dig om vi inte får all informetion som behövs? /moderator
Smaragdalena skrev:Ledsen, det står precis under där jag klippt att man ska beräkna fältet längs z-axeln.
Lägg in HELA uppgiften i ett nytt inlägg. Hur skulle vi kunna hjälpa dig om vi inte får all informetion som behövs? /moderator
Okej, gjort. Hur tar jag bort detta inlägg?
Okej, då försöker jag igen:
Jag har försökt lösa uppgiften på följande vis:

Uttrycket ser märkligt ut, någon som vet vad som kan ha gått fel?
kolibri skrev:Okej, då försöker jag igen:
Jag har försökt lösa uppgiften på följande vis:
Uttrycket ser märkligt ut, någon som vet vad som kan ha gått fel?
Du kan kolla rimligheten genom extremfall. Tex när z = 0 så borde fältet vara noll pga symmetri. När z är stort så borde fältet motsvara det från en punktladdning i origo. Dvs
Ez , där Q är totala laddningen, dvs x Arean.
Formeln är uppenbarligen korrekt för z = 0.
Ger formeln korrekt värde för stora värden på z?
, då x ligger nära noll.
= , då z är stort.
PATENTERAMERA skrev:Formeln är uppenbarligen korrekt för z = 0.
Ger formeln korrekt värde för stora värden på z?
, då x ligger nära noll.
= , då z är stort.
För stora värden på z så får vi därför
Ez = .
Så formeln verkar ge ett helt rimligt resultat.