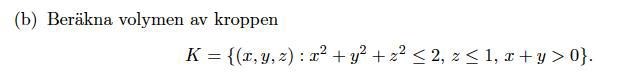
2
svar
128
visningar
sannakarlsson1337 behöver inte mer hjälp
Beräkna en volym av en kropp utan en funktion? Gauss sats??

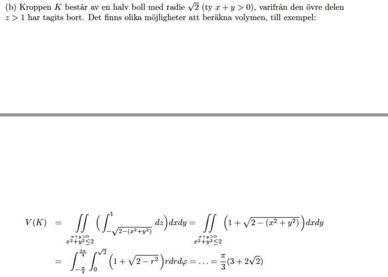
Facit till denna är

Det känns ju lite som att de använder Gauss sats, men hur kan ma använda den eller vad är det dom använder?? för de beräknar ju inte div F? Så nej, det e inte Gauss sats här? hmm.. försöker förstå hur de har räknatför jag googlar

Hej!
Det gäller att en volym av ett område kan beräknas med hjälp av en trippelintegral med integranden .
.
Jämför med en enkelintegral som ger längden av ett intervall (om du tar beloppet det vill säga), säg , .
Eller en dubbelintegral som ger arean.
Du behöver inte Gauss sats. Ställ upp integralen som du lärde dig om rotationsvolymer i Ma4. (Att du inte skulle kunnat beräkna integralen på den tiden är en annan sak...)