Beräkna exakt
Hur ska jag börja med uppgiften. Har inte det blekaste aning om detta
Ett tips:
Svaret ska vara något av de översta nämnda till uppgiften
a) sin 36grader.
Ok. Ger ett tips till:
Det hjälper inget.
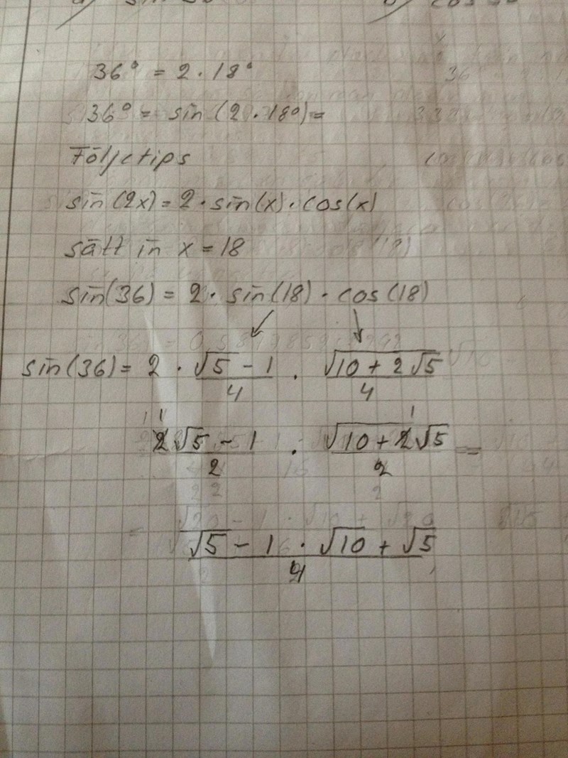
Jag ger då ett följetips: sin(2x) = 2sin(x)cos(x)
Jag kommer inget vart.
sin(2x) = 2sin(x)cos(x)
sätt in x = 18
sin(36) = 2sin(18)cos(18)
Det sättet har jag också provat på.
Visa hur du gjort!
sin (2x)= 2sin(x)cos(x)
sin (36)= 2sin(18)cos(18)
sin(36)= 0.587785252292
Jag tror de vill ha svar i exakt form.
Ja, det tror jag också.
Du vet ju de exakta värdena för cos 18 och sin 18 (de står i uppgiften). Sätt in de exakta värdena i formeln för dubbla vinkeln och förenkla. Visa det för oss här.
Varifrån får jag de? Jag får fram decimaltal.
läs ditt första inlägg i denna uppgift, där står det!
Jag var tvungen starta om telefonen. Den ville inte svara. Jag kunde inte koppla mig mot internet nyss.
Nu ska jag visa här.
Svaret ska vara enbart den vinkeln som vi har cos 18 grader på A uppgiften.
Multiplicera ihop de två bråken.
Visa hur du gör här så hjälper vi dig vidare.
Päivi skrev :
Uppställningen är rätt, förutom att rotenur-tecknet i andra bråkets täljare ska gå hela vägen, även ut över rotenur(5).
Ja tyckte att den stannade där, men du har rätt.
Jag vet inte, hur jag ska göra det här.
Det finns - 1 med i det hela.
Ett sätt att bryta ut, men jag har den där -1 som stör där.
Hej!
För att multiplicera de två talen och skriver du detta i textredigeringsfönstret.
\frac{ \sqrt{5} - 1 }{4} \cdot \frac{ 10 + 2\sqrt{5} }{4}
Resultatet blir detta:
Albiki
Hej Päivi.
Du har gjort en rad fel i din uträkning.
- Rotenur-tecknet har blivit för kort igen, det ska förlängas över hela andra faktorns täljare (blå markering).
- Du får inte förkorta med tvåan som hör ihop med ena termen under rottecknet (röd markering).
- Du har glömt att skriva dit parenteser runt första faktorn när du satte på gemensamt bråkstreck (gul markering).
- Både 10 och står under ett gemensamt rottecken, du kan inte dela upp dem (dessutom saknas en tvåa enligt punkt 2 ovan.

Förslag på korrekt "förenkling":
{förkorta faktorn 2 mot första nämnarens 4}
{bryt ut faktorn 2 under andra rottecknet}
Nu tror jag inte att det går att göra så mycket enklare.
Tack så mycket för detta Yngve!
vi har inte haft så mycket rot ur räkningar. Det har varit minimalt. Jag såg att gamla D kursen kom det mera om rot ur räkningar.

