Titta på rad två. Det ser ut att ha smugit med ett fel i den där parentesutvecklingen.
Det ska jag kolla. Typiskt. Det blir, när man försöker lösa allt snabbt. Jag gör snabb repetition av allt, innan jag koncentrerar enbart på derivata.
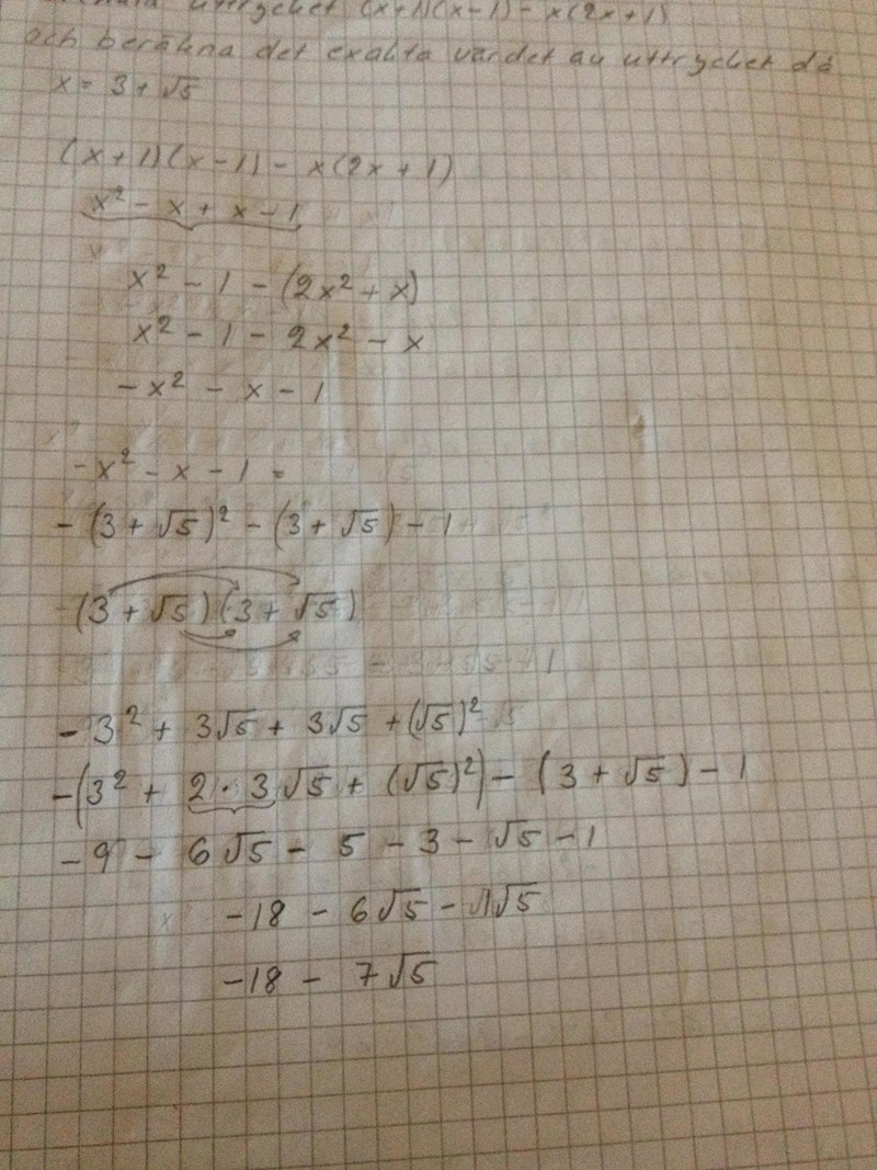
Nu är förenklingen rätt.
Hur går jag vidare efter det här?
Du räknar ut vad uttrycket blir då .
Nej du vet att , därför ersätter du alltså med i uttrycket och förenklar det vidare.
Jag har ju - x ^ 2 , hur ska jag göra här?
Du får att
Nej det gäller inte att
Utan det gäller att
Nej. Slarvfel.
Fel är det. Det vet jag också, men nu är jag lite osäker eftersom det är rot tecken och ovs.
Har du fått nu mat i dig och är mätt och belåten?
Jag måste fråga nu, har du verkligen gått igenom det där noggrant för att se om du kan hitta några slarvfel, eller har du försökt jobba dig igenom detta snabbt?
Jag har gått genom, men fortsatt räkna vidare och väntat att någon ska ta kontakt med mig. Problemet sitter vid roten som jag kan se det.
Har du stoppat i i det förenklade uttrycket ? Har du varit noggrann med minustecken och parenteser? Har du räknat rätt på kvadreringen?
Nu har jag löst det. Se här.
Visa inte beräkningar som du tror är felaktiga. Visa beräkningar som du tror är korrekta.
Du är inte riktigt framme. Räkna klart.
Javisst.Rätt. Klart. Snyggt.
Det fattas ordet svar. Den lade jag dit efteråt.







