1
svar
159
visningar
Beräkna exc kraft
Hej,
jag försöker lösa denna frågan:

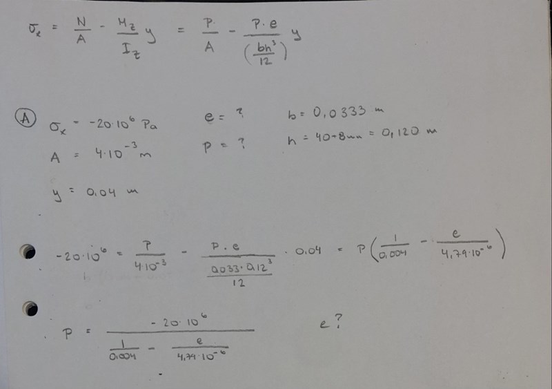
Såhär har jag börjat:

Sen är jag osäker på exakt hur jag ska gå tillväga. Testade först att skriva såhär:

Men jag har ju inte fått e. Tänkte att man kanske kan få ut denna genom skjuvspänning och ställde upp lite formler som har med det att göra:

Kommer dock inte fram till något och är som sagt lite lost. Vad är bäst att börja med att ta reda på?
Behöver du fortfarande hjälp med denna?