Beräkna f invers för givande funktioner
God kväll!
Jag har fastnat på följande fråga som handlar om inverser:

Såhär har jag tänkt:
Nu vet jag inte riktigt hur jag skall fortsätta. Några tips? :)
Jag skulle säga att du är klar efter näst sista raden.
Micimacko skrev:Jag skulle säga att du är klar efter näst sista raden.
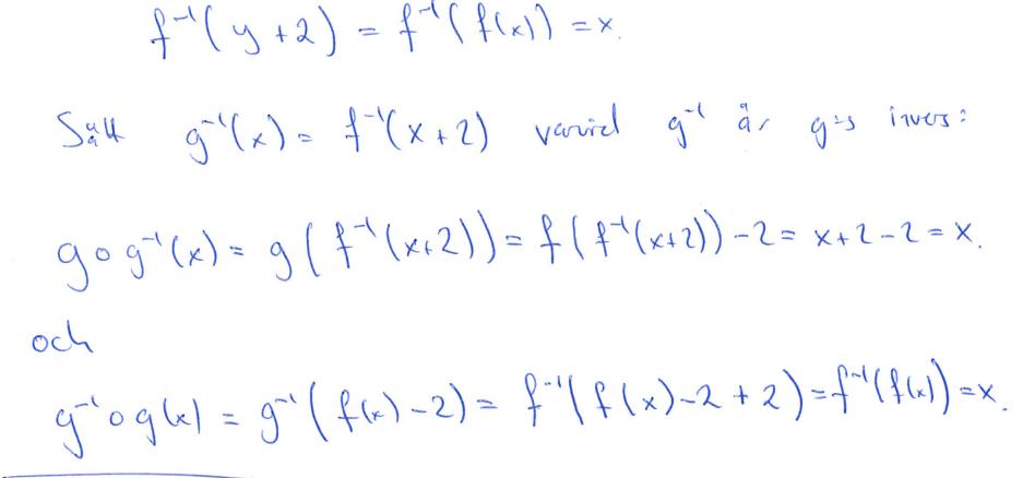
Okej! Tack! Förresten, när jag kollar på min adjunkts facit, står det något jag inte helt förstår mig på:

Nämligen
Hur får han fram detta, måtro?
På samma sätt som du ser det ut som?
Micimacko skrev:På samma sätt som du ser det ut som?
Tycker bara att ekvivalensen är förvirrande, så vet inte ens om vi gjorde det på samma sätt. Har inte riktigt satt mig fullständigt in i inverser, så får lite huvudbry att se det där XD.
Jag trodde han tog inversen på bägge sidor på ,
för att få fram , men då vet jag ej ifall han tog
Jag vet inte vad du får att g=f(x+2) ifrån.
Micimacko skrev:Jag vet inte vad du får att g=f(x+2) ifrån.
Ahhh. Så jag har skådat ett mönster att
Är mönstret kanske helt fel?
Det du gör på de första 2 raderna är att stoppa in båda sidor i antingen f eller f^-1. Men sen har du x och y som betyder g-inv och g, så du får något konstigt.