2
svar
60
visningar
Beräkna fel-termen i taylorpolynomet
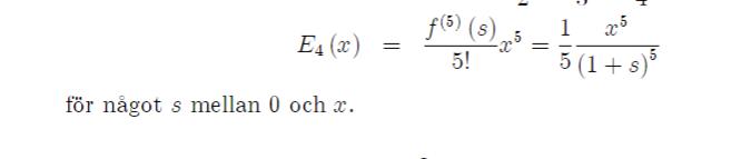
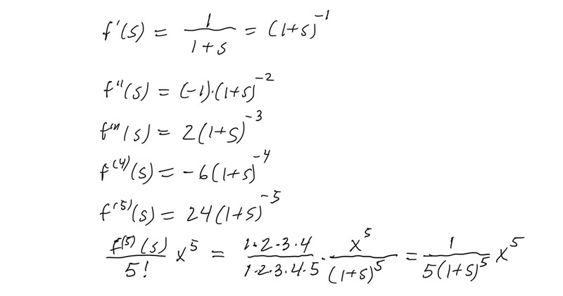
Hej! När de beräknar feltermen, hur kommer de fram till att är samma sak som ?


Tack på förhand!
Tack så mycket!
.jpg?width=800&upscale=false)