Beräkna fjäderns acceleration?

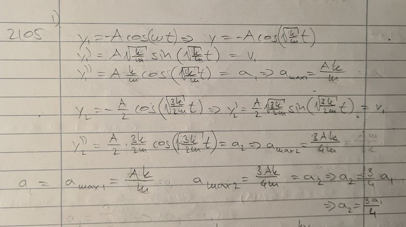
I denna uppgift har jag tillämpat formeln för harmonisk svängningsrörelse för att beräkna accelerationen för båda vikterna, dvs skapa ett generellt uttryck för acceleration för båda vikterna. Kan man använda sig av detta tillvägagångssätt, dvs. är det korrekt?

Jag tycker det ser ut att vara en bra metod att läsa uppgiften med.(Du kan använda bokstaven gamma istället för A, så blir det tydligt). Bra jobbat!
Ursäkta sent svar, jag skrev A istället för y därför att när fjädern (vikten) dras ner så blir ju y maximal amplitud, så därför blev det A istället. Tycker du att det hade varit tydligare om jag uttryckt det med y respektive y/2 istället?
Gamma ser bättre ut än A, tycker jag. Då ser man direkt koppling till frågeställningen. Men man förstår vad dina slutsatser ändå.
Okej, tycker du att denna lösning är lika bra också? Svaret överensstämmer med min lösning.

Jag tycker din lösning var mycket bättre! Du härledde accelerationen, medan facit hämtade den ifrån en formelsamling.
Okej, tack för hjälpen!