9 svar
156 visningar
Soderstrom behöver inte mer hjälp
Soderstrom 2768
Postad: 17 okt 2021 18:11 Redigerad: 17 okt 2021 18:11

Beräkna flödet

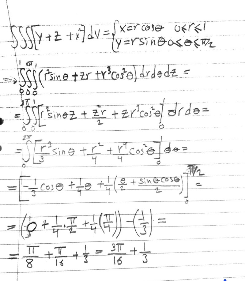
Har jag gjort rätt?

PATENTERAMERA 7933
Postad: 17 okt 2021 19:14

Du skall väl få

rsinθ+r2cos2θ+zrdrdθdz = r2sinθdrdθdz + r3cos2θdrdθdz + rzdrdθdz = …

Soderstrom 2768
Postad: 17 okt 2021 19:55
PATENTERAMERA skrev:

Du skall väl få

rsinθ+r2cos2θ+zrdrdθdz = r2sinθdrdθdz + r3cos2θdrdθdz + rzdrdθdz = …

Stämmer det nu? 

PATENTERAMERA 7933
Postad: 17 okt 2021 20:50

r2sinθdrdθdz = 01r2dr·02πsinθdθ·01dz = 13·0·1 = 0.

r3cos2θdrdθdz = 01r3dr·02πcos2θdθ·01dz = 14·π·1 = π4.

rzdrdθdz = 01rdr·02πdθ·01zdz = 12·2π·12 = π2.

Soderstrom 2768
Postad: 17 okt 2021 22:09

Jag gör ett slarvfel i gränsen...... Jag får Flödet till 3π4\displaystyle \frac{3 \pi}{4}. Är det svaret? Jag tänker att flödet från botten och toppen är noll på grund av symmetrin. Så då behöver jag inte räkna på det?


PATENTERAMERA 7933
Postad: 17 okt 2021 23:03 Redigerad: 17 okt 2021 23:03

Jag får också 3pi/4. Men förstår inte dina räkningar. Hur får du det till 3pi/4? Det borde bli ett flöde genom den övre begränsningsytan (z = 1). Men du skall väl beräkna flödet genom kroppens hela begränsningsyta och då behöver du bara beräkna volymsintegralen av divergensen.

Soderstrom 2768
Postad: 17 okt 2021 23:14 Redigerad: 17 okt 2021 23:20

Jag får också 3pi/4. Men förstår inte dina räkningar. Hur får du det till 3pi/4?

Om du utgår från där jag gjorde fel, alltså i det röd markerade området (byt ut den övre gränsen till 2π\displaystyle 2\pi.) så vi får:


[-13cosθ+14θ+14(θ2+sin(θ)cos(θ)2)]02π=(-13+π2+π4)-(-13)=π2+π4[-\frac{1}{3}cos\theta + \frac{1}{4} \theta + \frac{1}{4}(\frac{\theta}{2}+ \frac{sin(\theta)cos(\theta)}{2})] _{0}^{2\pi}= (-\frac{1}{3}+ \frac{\pi}{2}+\frac{\pi}{4})-(-\frac{1}{3})= \frac{\pi}{2} + \frac{\pi}{4}

Det borde bli ett flöde genom den övre begränsningsytan (z = 1). Men du skall väl beräkna flödet genom kroppens hela begränsningsyta och då behöver du bara beräkna volymsintegralen av divergensen.

Jag förstår inte riktigt vad du menar här. Ska jag beräkna DF·ndS\iint_D F \cdot \vec n dS för botten och toppen???

PATENTERAMERA 7933
Postad: 17 okt 2021 23:23

När du använder Gauss så är det alltid en sluten yta som du beräknar flödet genom, så varför skulle du räkna ut toppen och botten separat? De ingår väl i kroppens begränsningsyta.

Det var ditt symmetriresonemang som jag inte höll med om, det blir flöde genom toppen, men inte botten.

Soderstrom 2768
Postad: 17 okt 2021 23:27

PATENTERAMERA skrev:

När du använder Gauss så är det alltid en sluten yta som du beräknar flödet genom,

Jag är helt med på det.

så varför skulle du räkna ut toppen och botten separat? De ingår väl i kroppens begränsningsyta.

Ok! Jag insåg nyss att integralen med avseende på zz talar om för oss att ytan är sluten, visst?

Så alltså svaret på frågan är att flödet =3π4=\frac{3\pi}{4}. right?

PATENTERAMERA 7933
Postad: 17 okt 2021 23:40

Ja, det borde det bli.

Svara
Close