9 svar
191 visningar
heymel 663
Postad: 13 jun 2018 16:17

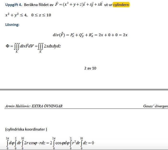
Beräkna flödet av cylindern.

Skulle önska att kunna se hur man kan räkna ut detta utan cylindriska koordinater? för då har vi från sigma: 

 

2x dxdydz=dzdy2x dx =1*1*x2 =x2

och med gränserna: -2 och 2 (för cirkeln?)  får vi F(2)-F(-2) = 0

Stämmer detta, eller får jag slumprätt?

Dr. G 9649
Postad: 13 jun 2018 17:13
heymel skrev:

2x dxdydz=dzdy2x dx =1*1*x2 =x2

och med gränserna: -2 och 2 (för cirkeln?)  får vi F(2)-F(-2) = 0

Stämmer detta, eller får jag slumprätt?

Du kan inte integrera som ovan utan att ta hänsyn till volymens form.

Att integralen blir 0 kan man se då du integrerar en udda funktion (2x) på en volym som är symmetrisk runt x = 0. Tänk hur det blir i envariabelfallet. Cylindriska koordinater kan man då skippa.

heymel 663
Postad: 14 jun 2018 07:07
Dr. G skrev:
heymel skrev:

2x dxdydz=dzdy2x dx =1*1*x2 =x2

och med gränserna: -2 och 2 (för cirkeln?)  får vi F(2)-F(-2) = 0

Stämmer detta, eller får jag slumprätt?

Du kan inte integrera som ovan utan att ta hänsyn till volymens form.

Att integralen blir 0 kan man se då du integrerar en udda funktion (2x) på en volym som är symmetrisk runt x = 0. Tänk hur det blir i envariabelfallet. Cylindriska koordinater kan man då skippa.

 Hmm, inte säker på att jag fattar?

Dr. G 9649
Postad: 14 jun 2018 08:59 Redigerad: 14 jun 2018 08:59

Är du med på att t.ex

-11xdx=0\int_{-1}^{1}xdx = 0

-11x7dx=0\int_{-1}^{1}x^7dx = 0

-11tan(x)dx=0\int_{-1}^{1}\tan(x)dx = 0

-11x19e-x2dx=0\int_{-1}^{1}x^{19}e^{-x^2}dx = 0

och att man kan se det utan att beräkna primitiv funktion?

heymel 663
Postad: 14 jun 2018 09:06
Dr. G skrev:

Är du med på att t.ex

-11xdx=0\int_{-1}^{1}xdx = 0

-11x7dx=0\int_{-1}^{1}x^7dx = 0

-11tan(x)dx=0\int_{-1}^{1}\tan(x)dx = 0

-11x19e-x2dx=0\int_{-1}^{1}x^{19}e^{-x^2}dx = 0

och att man kan se det utan att beräkna primitiv funktion?

 jaa precis. 

men tänkte att det som jag beräknade på topic, var att den integralen blev noll (om jag räknade rätt, hehe) och då mulitplcierat med volymen, blir ändå 0. tänkteeee jag.

Smaragdalena 78892 – Avstängd
Postad: 14 jun 2018 09:12

Ditt svar är alltså korrekt, men du har motiverat det fel - du har inte sagt något om udda funktioner och symmetriska områden.

heymel 663
Postad: 14 jun 2018 09:27
Smaragdalena skrev:

Ditt svar är alltså korrekt, men du har motiverat det fel - du har inte sagt något om udda funktioner och symmetriska områden.

Hmm,, hittar ingen sats om det? :$ 

Smaragdalena 78892 – Avstängd
Postad: 14 jun 2018 09:59

Du skrev ju tidigare att du var med på integralerna som Dr.G skrev tidigare. De var alla exempel på udda funktioner integrerade över ett symmetriskt område.

heymel 663
Postad: 14 jun 2018 10:25
Smaragdalena skrev:

Du skrev ju tidigare att du var med på integralerna som Dr.G skrev tidigare. De var alla exempel på udda funktioner integrerade över ett symmetriskt område.

 

Oki, men så på udda funktioner fungerar inte det så som jag gjorde (utan då måste över gå till cylindriska kordinater(?)) men fungerar annars?

Smaragdalena 78892 – Avstängd
Postad: 14 jun 2018 11:18

Nu förstår jag inte vad det är du menar. Udda funktioner integrerade över symmetriska områden får värdet 0 oberoende av vilka koordinater man använder för att beskriva dem. Så som du har skrivit i ditt förstainlägg har du inte angivit vilket område du integrerar över.

Svara
Close