0
svar
48
visningar
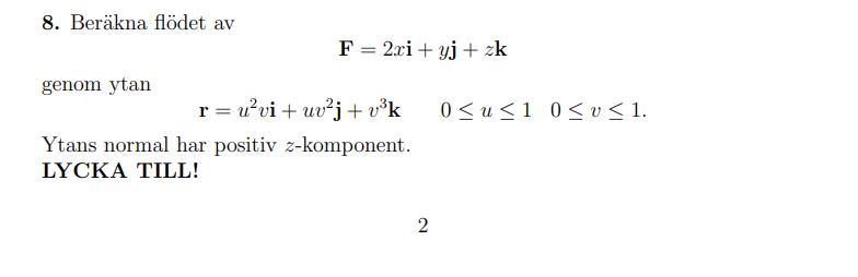
Beräkna flödet av F
Jag försökte vara lite "kreativ" för att lösa denna uppgift, dock osäker på om jag gjorde rätt.

