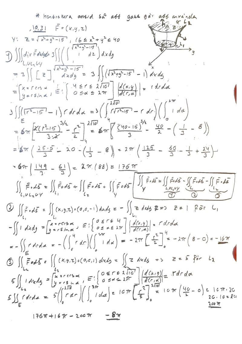
beräkna flödet med gauss sats
beräkna flödet av fältet (x,y,z) genom ytan
med utåtriktad normal.
jag har gjort beräkningarna enligt följande men jag får helt fel och ser verkligen inte vad jag har gjort fel.
någon som har ett tips?

Integral 2 och 3 ser bra ut, men beräkningen av ser lite sketchy ut.
Det blir enklare om du låter gränserna för vara
Vad blir gränserna för radien då?
åh jag var nästan säker på att det var en av 2 eller 3 som var helt fel haha.
men nu tror jag att jag minns varför jag gör fel ibland. jag borde göra som du säger med dom valda gränserna för z och så först beräkna dubbelintegralen beroende på x och y ? så man summerar cirkelskivorna upp längs z-axeln?
det var så jag tänkte här men gjorde nog lite fel i uppställningen haha.
men en fråga då. om jag skulle vilja göra den på det andra sättet genom att använda gränserna för z som jag gjorde innan är gränserna för x och y isf?
Jag är inte med på vad du menar. Men i xy-planet får du cirkelskivor, inte kvadrater.
Tror det blir lättare om du tänker i cylinderkoordinater eller polära koordinater i den här uppgiften. Du har också gjort en väldigt fin skiss över ytan som du bör titta på för att förstå vad som händer.
För varje höjd ska längst ut vid "väggen".
Det är samma sak som
Alltså ska gå från till och integralen blir
ah nu är jag med, på tänket :) tänkte man bara kunde ta radien från 0 till men det går ju såklart inte när den varierar. tack för hjälpen :)