Beräkna följande integraler

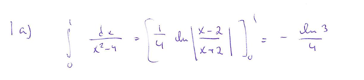
Uppgiften a) så här räknat ja:
Facit:

Min lösning är väldigt likt facit men inte samma, vad har jag gjort fel?
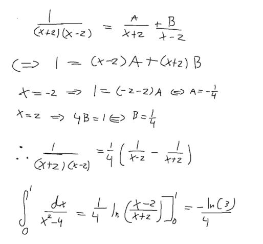
Du har teckenfel. efter PBU ska du ha:
.
Dracaena skrev:Du har teckenfel. efter PBU ska du ha:
.
Varför måste det vara
Du har vänt på det, A är -1/4
Multiplicera upp nämnaren, låt x=-2 så fås 1=-4A.
Du visar inga steg så jag vet inte hur du räknat, men du har teckenfel från pbu som resulterar i teckenfel i din integral senare.
Multiplicera upp nämnaren, låt x=-2 så fås 1=-4A.
Kan du utvidga här? Vilka två nämnaren ska ja multiplicerar ihop här? Är det
Jag har skrivit det för hand i paint så det kanske ser lite slarvigt ut.
Hänger du med?
Har du använt du handpåläggsmetoden?
Ja. Jag föredrar det över att skapa ett ekvationssystem. Har man 3+ okända så fungerar det inte alltid. Har man tur så kan man ta fram 1 okänd, skapa ekvationssystemen och sedan lösa det mycket enklare då man har mycket färre okända.
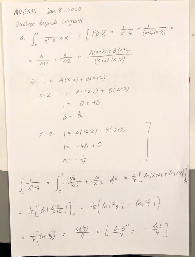
Så här ser min lösning ut nu:

Stämmer det?
Ja, jag tycker det ser bra ut. :)
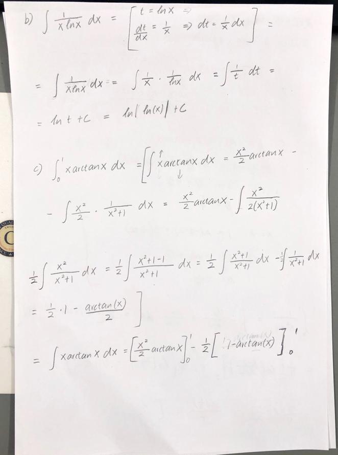
Frågan c)
Har ja gjort så här:


Varför har ja fått pi/4 inte pi/4-1/2 i facit.
