2
svar
90
visningar
Beräkna friktionstal vid inbromsning i backe

Har fått följande uppgift och har fastnat vid uträkningen av friktionskraften för att kunna räkna ut friktionstalet
Välkommen till Pluggakuten!
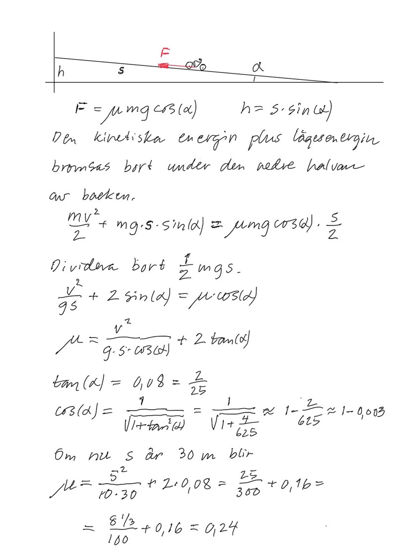
I dina beräkningar tycks du ha använt 30 m som värde på backens horisontella längd, men i texten tillsammans med figuren står det inget om backens mått?!
