1
svar
75
visningar
offan123 behöver inte mer hjälp
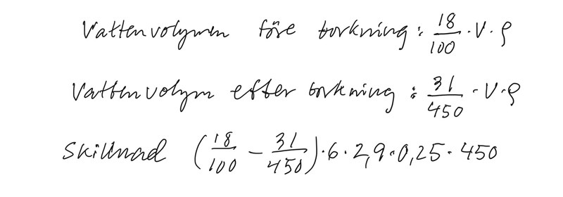
Beräkna fukten i liter
Jag vet att detta inte är rimligt eftersom när något uttorkas så ska massan bli mindre. Jag vill ta m1-m2 men fastnar. Hur kan jag komma vidare?

Borde nog skrivit vattenmassa istället för volym.