5
svar
338
visningar
Anonym_15 behöver inte mer hjälp
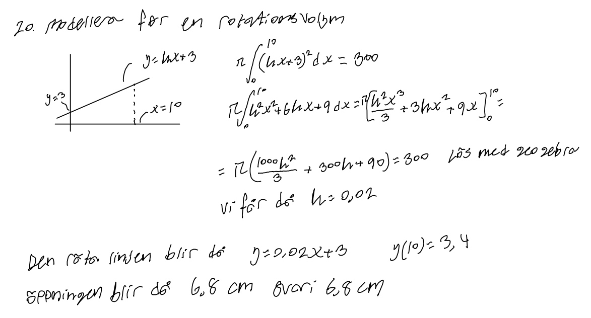
Beräkna glasets diameter
Hej, försöker förstå facit till följande uppgift men det går inte så bra. Skulle uppskatta lite hjälp:)

Facit:

Man behöver inte lösa uppgiften på just det här sättet. Försök att lösa uppgiften på ett eget sätt.
Här är en annan metod men ekv blir inte speciellt trevliga.

MaKe skrev:Man behöver inte lösa uppgiften på just det här sättet. Försök att lösa uppgiften på ett eget sätt.
Hur skulle jag annars kunna lösa den?
Trinity2 skrev:Här är en annan metod men ekv blir inte speciellt trevliga.
vart får du variabeln h ifrån?
Anonym_15 skrev:Trinity2 skrev:Här är en annan metod men ekv blir inte speciellt trevliga.
vart får du variabeln h ifrån?
Kallar höjden i den stora konen för h och beräknar vad den är uttryckt i R.

