2
svar
99
visningar
Na5a behöver inte mer hjälp
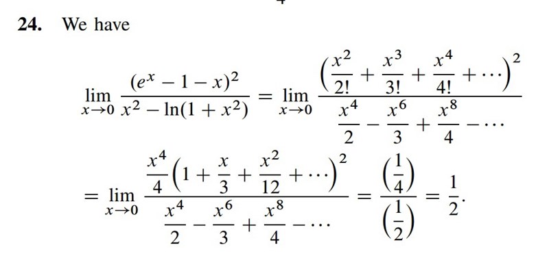
Beräkna gränsvärde med Mclaurin

I det sista steget, hur kan det bli (1/4) / (1/2) ? Borde det inte bli 0/0 i och med att x finns i alla termer i nämnare och täljare?
Är du med på att parentesen i täljaren går mot 1 när x går mot 0?
Är du med på att alla termer i nämnaren utom den första kan försummas när x blir tillräckligt litet?
Är du med på att förkorta bort x4?
Tack!