5 svar
103 visningar
Maremare behöver inte mer hjälp
Maremare 1044 – Fd. Medlem
Postad: 18 aug 2020 11:48

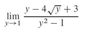
beräkna gränsvärde, om det finns. uppg2 (envariabelanalys)

Ska beräkna/avgöra för denna:

Förstår att man behöver skriva om denna och nämnaren kan jag skriva om enligt konjugat men hittar ingen "vanlig" omskrivning av täljaren, eller är det någon "vanlig" jag missar eller annat knep man också bör testa som jag inte verkar känna till?

eller bör man göra på något annat sätt?

Smaragdalena 78892 – Avstängd
Postad: 18 aug 2020 11:52

Sätt t=yt=\sqrt{y} och lös andragradsekvationen, precis som du lärde dig i Ma2.

Maremare 1044 – Fd. Medlem
Postad: 18 aug 2020 12:01
Smaragdalena skrev:

Sätt t=yt=\sqrt{y} och lös andragradsekvationen, precis som du lärde dig i Ma2.

y-4t+3  = 0 ?

eller vad menas?

Smutstvätt 23650 – Moderator
Postad: 18 aug 2020 12:08

Nästan! Om t=yt=\sqrt{y}, kan då yy skrivas som t2t^2. :) 

Maremare 1044 – Fd. Medlem
Postad: 18 aug 2020 12:14
Smutstvätt skrev:

Nästan! Om t=yt=\sqrt{y}, kan då yy skrivas som t2t^2. :) 

juste det fanns ett till y, men då var det inte så svårt, tack för tipset jag löste denna!

tusen tack!

Smutstvätt 23650 – Moderator
Postad: 18 aug 2020 12:37

Vad bra! :)

Svara
Close