beräkna gränsvärdet
hej jag ska beräkna detta gränsvärde men jag kan inte annvända mig av l"Hopitlas regel för att derivatan av x^2kan vara negativ eftersom xodvs0ska tillhöra samma intervall som x där derivatan av g'(x)=2x inte får va 0. så jag har fastnat

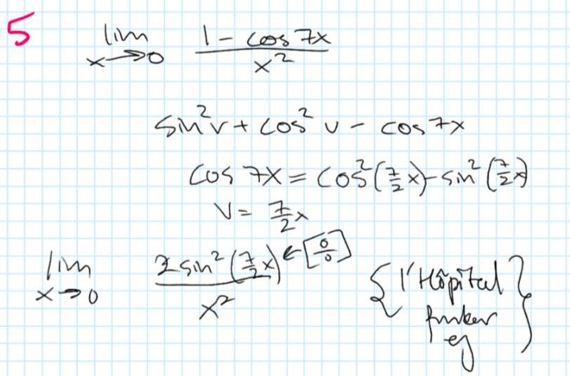
För cosinusfunktionen gäller det att där är en funktion sådan att
Ett tips: ansätt
Vad blir då?
Det fungerar på ditt sätt också, men blir lite krångligt, tänk på att:
men grejen är ju att jag inte kan fortsätta med l'hopitalsregel för att kraven inte uppfylls. så vet inte hur jag ska fortsätta. men vill ändå göra på liknande mitt sätt, där jag gör om ekv så att den kan gå i grens och ev h'hopitlas regel
solaris skrev:men grejen är ju att jag inte kan fortsätta med l'hopitalsregel för att kraven inte uppfylls. så vet inte hur jag ska fortsätta. men vill ändå göra på liknande mitt sätt, där jag gör om ekv så att den kan gå i grens och ev h'hopitlas regel
Kan du specificera vilka krav som inte uppfylls?
så jag har förstått l'hopitals regel så om vi säger f(x)=1-cos7x ocg g(x)=x^2 och f och g är deriverbara i (a,b) dvs(-oänd.,oänd.) men g'(x) får inte va 0 för alla x på intervallet men då g'(x) inte får va noll ger att x inte får va 0 alltså är den inte för alla x på intervallet.
Förstår inte riktigt vad du menar, men det känns som du har missförstått l’Hôpitals regel något. Se lösning av ditt problem med den metoden via denna länk:
Albiki skrev:För cosinusfunktionen gäller det att där är en funktion sådan att
Jag vet inte varför du struntar i min hjälp Solaris, men för övriga läsare föreslår jag följande resonemang.
Det sökta gränsvärdet är därför .
Albiki skrev:För cosinusfunktionen gäller det att där är en funktion sådan att
Det ska stå istället för .
Alternativt, enligt mitt förslag ovan:
Gränsvärdet =