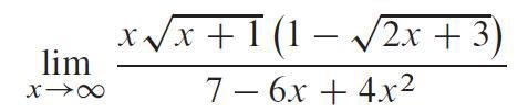
Beräkna gränsvärdet (envariabelanalys)
Har fastnat på denna

jag tänker att jag delar nämnare och täljare med högsta gradtalet dvs x i kvadrat
förstår att jag ska försöka bryta ut x i täljaren så att jag på något sätt får x i kvadrat så de tar ut varandra efter att jag delat täljare och nämnare för att sedan låta x gå mot oändligheten
jag vet att det kommer finnas kvar en 4a i nämnaren då x går mot oändligheten men det är täljaren som sätter käppar i hjulen för mig just nu. det är säkert någon räkneregel jag missar eller inte kan som gör att jag inte kan få till x i kvadrat i täljaren men har försökt hit:
tips på vad och hur jag ska fixa till täljaren? eller andra sätt man kan lösa denna utan att rita?
Multiplicera in i parentesen och bryt ut x2 ur de båda rotuttryck du får fram.
Dividera alla termer med den dominerande faktorn (), och ta bort termerna som går mot noll. Vad blir kvar? :)
okej men det är det jag inte vet hur man gör, har skrivit i min uträkning hur långt jag kommit. är den fel eller är det något steg som är fel eller vart är det tokigt med den ? för vet ej hur man gör annars om den är fel
Smaragdalena skrev:Multiplicera in i parentesen och bryt ut x2 ur de båda rotuttryck du får fram.
Har du prövat det här?
Smaragdalena skrev:Smaragdalena skrev:Multiplicera in i parentesen och bryt ut x2 ur de båda rotuttryck du får fram.
Har du prövat det här?
såhär?
Vad går första rotuttrycket mot, när x går mot oändligheten? Vad går andra rotuttrycket mot, när x går mot oändligheten? Vad går hela parentesen mot, när x går mot oändligheten?
Hej M. M.
Om x är ett mycket stort positivt tal gäller det att
och varför det sökta gränsvärdet bör vara
Maremare skrev:Smaragdalena skrev:Smaragdalena skrev:Multiplicera in i parentesen och bryt ut x2 ur de båda rotuttryck du får fram.
Har du prövat det här?
såhär?
yes jag är med hur själva uträkningen går till efter omskrivningen är klar men undrar om denna omskrivning är rätt?
för om den är det så kan jag lösa resten men det är som tidigare nämnt täljarens omskrivning som jag har problem med
Albiki skrev:Hej M. M.
Om x är ett mycket stort positivt tal gäller det att
och varför det sökta gränsvärdet bör vara
ja och det är täljaren jag har problem med, har skrivit hur jag har försökt men har ej fått återkoppling på om det är rätt eller inte så vet fortfarande inte hur man löser denna
Ja, det blev i alla fall samma uttryck som jag fick fram.
Smaragdalena skrev:Ja, det blev i alla fall samma uttryck som jag fick fram.
Okej men som Albiki eller som mig?
Jag svarade på det som handlade om den metod jag rekommenderade. Du behöver kombinera ihop hela täljaren och hela nämnaren för att komma fram till det riktiga gränsvärdet, naturligtvis. Då kommer du att se att Albiki och jag är rörande överens i det här fallet.
Smaragdalena skrev:Jag svarade på det som handlade om den metod jag rekommenderade. Du behöver kombinera ihop hela täljaren och hela nämnaren för att komma fram till det riktiga gränsvärdet, naturligtvis. Då kommer du att se att Albiki och jag är rörande överens i det här fallet.
okej men när jag testade din metod fick jag ingen återkoppling om jag gjort rätt eller inte eller tolkat det fel, så jag förstår dessvärre fortfarande inte om jag löst denna eller ej
Har du inte uppfattat att jag har skrivit att du har fått fram samma uttryck som jag fick (hoppas verkligen att det är rätt). Hur blir hela uttrycket om du sätter in de här uttrycken i ursprungsuttrycket, förkortar bort x2 och beräknar gränsvärdet?
Smaragdalena skrev:Har du inte uppfattat att jag har skrivit att du har fått fram samma uttryck som jag fick (hoppas verkligen att det är rätt). Hur blir hela uttrycket om du sätter in de här uttrycken i ursprungsuttrycket, förkortar bort x2 och beräknar gränsvärdet?
nej jag har inte uppfattat det du skrivit därav min fråga om du fått samma uttryck som mig eller Albiki, där jag inte heller uppfattade svaret på den frågan
men jag hoppas jag förstår ditt svar på min fråga om min uträkning är rätt, hoppas den är rätt
Hej M. M.
Jag ger återkoppling på beräkningarna i ditt första inlägg.
Likhet 1: Okej.
Likhet 2: Okej.
Likhet 3: Inte okej; du glömde multiplicera yttre rotuttrycket med den andra termen.
Likhet 4: Okej, bortsett från följdfelet av misstaget i Likhet 3.
Albiki skrev:Hej M. M.
Jag ger återkoppling på beräkningarna i ditt första inlägg.
Likhet 1: Okej.
Likhet 2: Okej.
Likhet 3: Inte okej; du glömde multiplicera yttre rotuttrycket med den andra termen.
Likhet 4: Okej, bortsett från följdfelet av misstaget i Likhet 3.
Hej, tusen tack för att du gick igenom den och feedbackade! Nu kunde jag lösa den =))
tusen tack!