7 svar
205 visningar
Ellinor behöver inte mer hjälp
Ellinor 454
Postad: 27 okt 2024 14:13

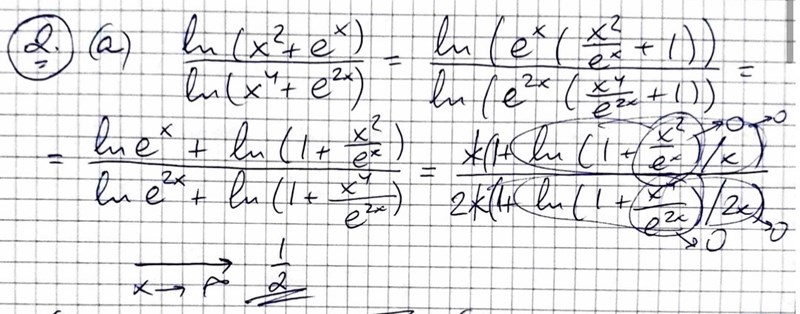
Beräkna gränsvärdet. L'Hospitals regel och taylorutveckling får ej användas.

Hej! Jag har fastnat på en gränsvärdesuppgift som lyder såhär:

Jag försökte ett tag utan att riktigt komma någon vart, (prövade först med att bryta ut potensena av x och sedan potenserna av e men kom ingen vart) så tittade på lösningsförslaget:

Jag förstår steg 1 och 2 men inte steg 3. Jag skulle verkligen behöva hjälp med att förstå vad som händer i det tredje steget! Stort tack!

Smutstvätt 23626 – Moderator
Postad: 27 okt 2024 14:39 Redigerad: 27 okt 2024 14:40

De använder den logaritmlag som säger att logab=loga+logb. Sedan bryter de ut x från både täljare och nämnare, för att kunna förenkla bort x. :)

MrPotatohead 8103 – Moderator
Postad: 27 okt 2024 18:48 Redigerad: 27 okt 2024 18:48

Innan dess använder hon lagen log(ab)=b*log(a) för att få fram x i täljaren och 2x i nämnaren.

Ellinor 454
Postad: 27 okt 2024 18:54 Redigerad: 27 okt 2024 18:57

Jag förstår, stort tack för hjälpen!

hon? Du vet att alltså att det är Jana.

MrPotatohead 8103 – Moderator
Postad: 27 okt 2024 19:01 Redigerad: 27 okt 2024 19:01

Självklart.😌

destiny99 Online 10978
Postad: 27 okt 2024 20:53 Redigerad: 27 okt 2024 20:55
Ellinor skrev:

Jag förstår, stort tack för hjälpen!

hon? Du vet att alltså att det är Jana.

Mafy prov konstruktören? 😂 ber om ursäkt att jag kommenterar under detta inlägg. Jag kände igen namnet bara!

MrPotatohead 8103 – Moderator
Postad: 27 okt 2024 20:59
destiny99 skrev:
Ellinor skrev:

Jag förstår, stort tack för hjälpen!

hon? Du vet att alltså att det är Jana.

Mafy prov konstruktören? 😂 ber om ursäkt att jag kommenterar under detta inlägg. Jag kände igen namnet bara!

Precis, hon ja! Hon har inledande analys-kursen på F/TM på Chalmers. Den är känd som "Janan". Typ 60% brukar kugga första tentan. 

Ellinor 454
Postad: 28 okt 2024 09:12
MrPotatohead skrev:

Självklart.😌

😵‍💫😂😁

Svara
Close