Beräkna hastigheten med impuls & friktion på en hockeypuck
Uppgift:
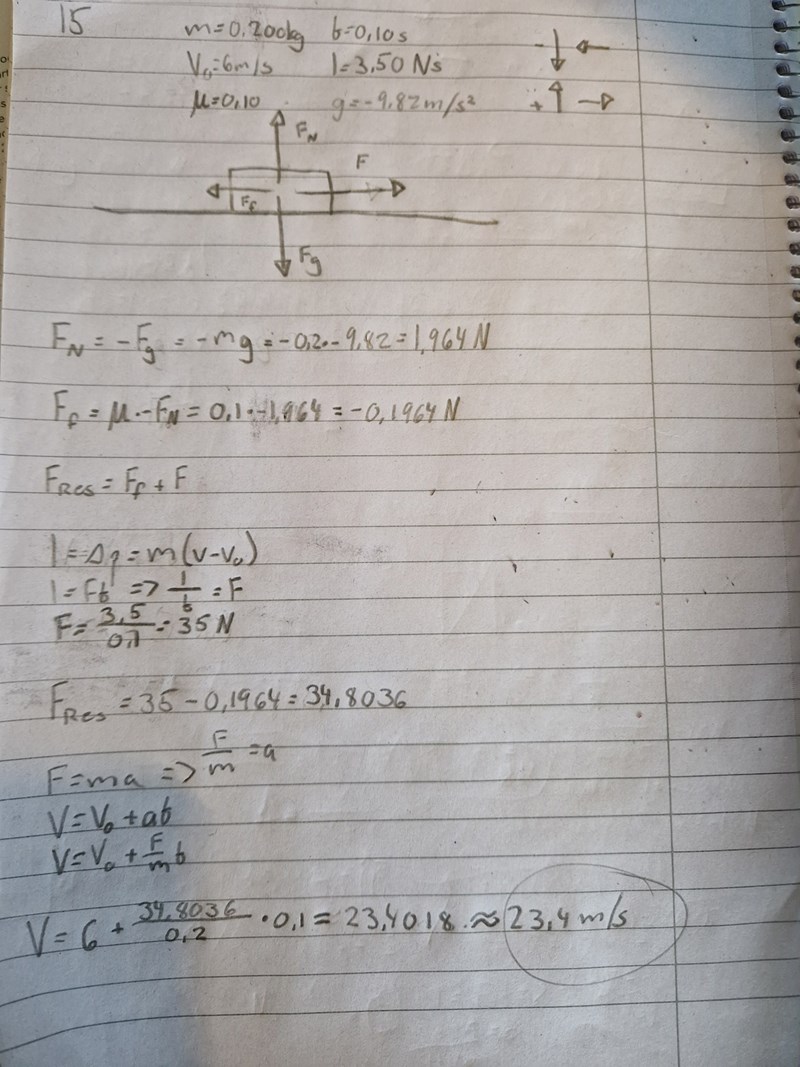
En ishockeypuck har hastigheten 6 m/s rakt mot mål. En spelare ger pucken ett slag i rörelseriktningen så att hastigheten ökar. Pucken är hela tiden i kontakt med isytan, som är vågrät. Pucken har massan 0,200 kg, och friktionskoefficienten mellan pucken och isen är 0,10. Slaget från klubban varar i 0,10 s och ger pucken en impuls på 3,5 Ns i hastighetsriktningen.
a) Beräkna puckens hastighet direkt efter slaget.
Jag behöver hjälp med att lösa a. Jag får svaret 23,4 m/s men i facit står 23,5 m/s. Jag har inte avrundat fel eller avrundat någonstans under lösningen. Såhär tänkte jag:

Vad har jag gjort för fel?
23,5 m/s får man om man struntar i friktionen, och det menas nog att den där impulsen är den totala impulsen, och att man inte ska dra bort friktionsarbetet.
Å andra sidan är tre värdesiffror alldeles för mycket när den första hastigheten 6 m/s bara var angiven med en.
Jag skulle föredra att lösa dessa uppgifter med impuls och rörelsemängd. Vi har att:
Att din lösning inte fungerar är för att du behandlar uppgiften med friktion, pucken rör sig nämligen inte under slaget! Testa att lösa uppgiften på samma sätt utan en friktionskraft, då bör du få rätt svar.
Tack, den lösningen var mycket enklare!
Så påverkas hastigheten direkt efter ett slag inte av friktionen?
Precis, det som efterfrågas är hastigheten direkt efter slaget och då har ingen friktion hunnit verka.
Slaget pågår under 0,10 sekunder och under den tiden verkar friktionen precis som vanligt.
Hmmm. Jag skulle hålla med dig Laguna om man räknade med statisk friktion, men här tror jag det räcker med glidfriktion.
Man kan tänka sig att pucken först står still och blir sedan puttad med en kraft från klubban. Den kraft som då verkar precis efter slaget är den sammantagna kraften från klubban utan friktion, och när väl pucken rört sig ingår även friktionskraften. Det känns lite flumsigt att ta hänsyn till friktionen två gånger: innan pucken rört sig och när väl pucken rör sig.
Men ja, jag kan ha fel här.