beräkna integral
Hej jag har en uppgift att beräkna integralen nedan och jag har gjort om uppgiften flera gånger men får ändå fel. kan ni hjälpa mig se vad jag gjort fel

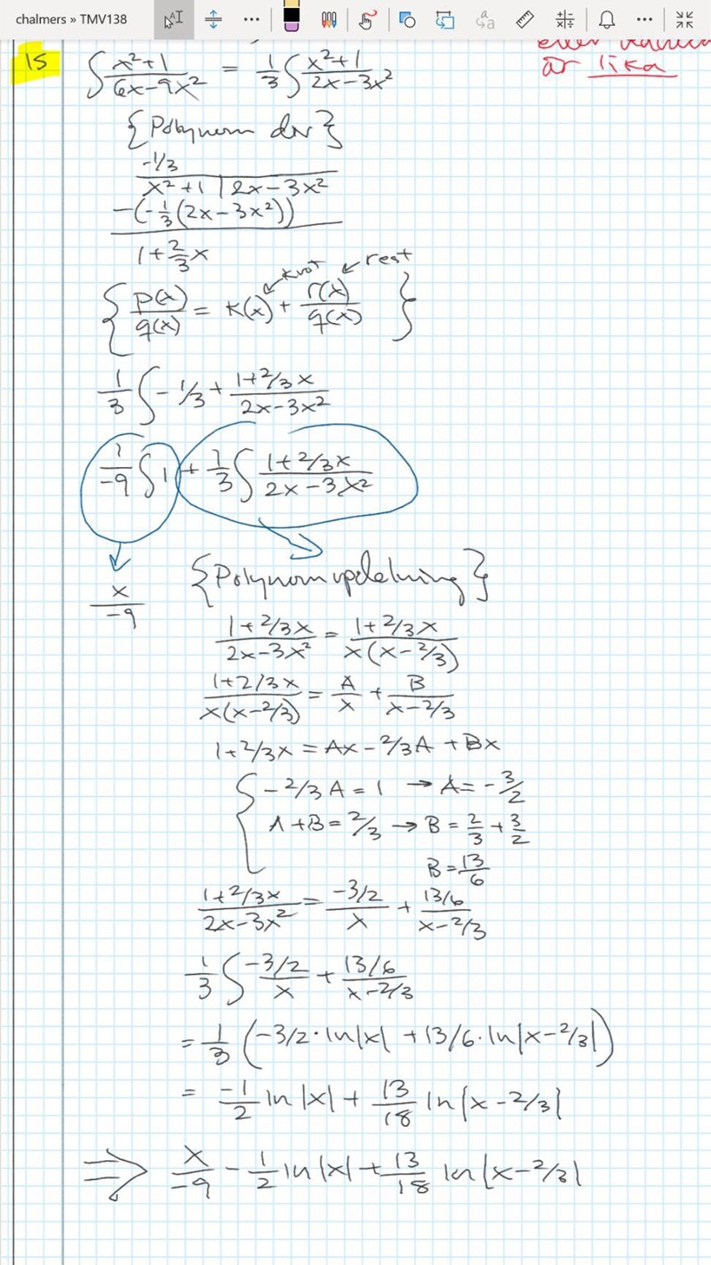
Precis under där du skriver "polynomuppdelning" verkar det ha blivit fel. Du har delat nämnaren med tre och vänt på minustecknet.
parveln skrev:Precis under där du skriver "polynomuppdelning" verkar det ha blivit fel. Du har delat nämnaren med tre och vänt på minustecknet.
menar du att 2x-3x^2 till x(x-2/3) är fel? men jag tänkte hitta nollpunkterna för polynomet och ändra om det. Så jag tog och brytte ut x --> x(2-3x)=y . Då y = 0 så är antingen x = 0 eller 2-3x=0-->x=2/3. Då kan jag skriva det som (x-0)(x-2/3). Det är väll så man gör när man vill skriva om polynom?
eller så kan man använda pq -3x^2+2x --> -3(x^2-2x/3) pq--> r1= 0, r2=2/3 ---> -3(x-0)(x-2/3)
varför blir det första sättet jag tänkte fel men det andra inte?
När du faktoriserar med hjälp av nollpunkterna måste du tänka på att har samma nollställen som . Du måste alltså bestämma den multiplikativa faktorn separat. I det här fallet är den -3.
Det gäller att och varför en kvadreringsregel ger
.
Inför beteckningen för att få integralen
.
Beräkna integralerna
och