4
svar
107
visningar
Marcus N behöver inte mer hjälp
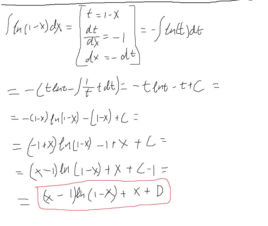
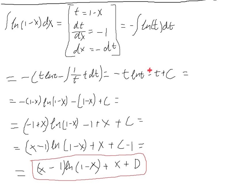
Beräkna integral
Beräkna

Har ja gjort någon misstag?
I facit står det:
Hade nog gjort såhär:
ItzErre skrev:Hade nog gjort såhär:
Det ska bli (x-1)ln(1-x)-x+C !
Ja, det saknas en inre derivata som är (-1) mellan rad 1 och 2. Men kör vidare på din egen lösning, det var ju bara ett minus som fallit bort.
