1
svar
21
visningar
Beräkna integral - fattar inte hur jag gjort fel...?

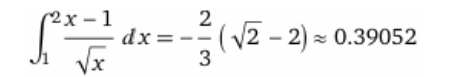
5215 b)
På denna uppgift försökte jag först hitta primitiva funktionen och fick då:
(x^-0.5)(x-1)
x^0.5 - x^-0.5
Sedan gjorde jag om till en prim. funktion
(x^1.5)/(1.5) - (2)(x^0.5)
Och tog därefter F(2) - F(1) och fick ungefär 0.39
Var har jag hamnat fel???
0,39 är ett korrekt närmevärde
![]()
Varför tror du att det är fel?