offan123 behöver inte mer hjälp
offan123 3072
Postad: 23 dec 2022 10:29

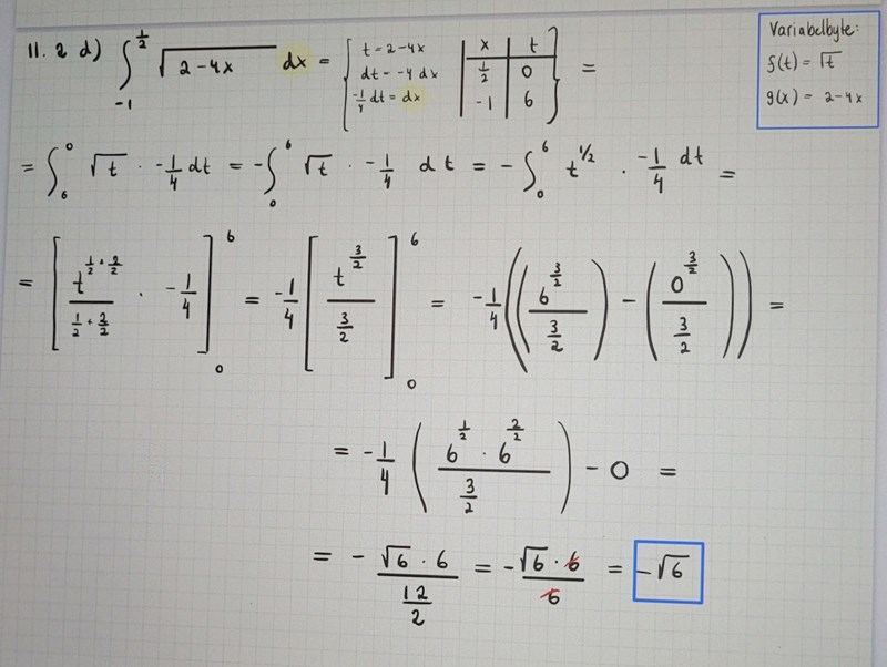
Beräkna integralen

Ser någon vad för fel jag gjort?

Ture Online 11108
Postad: 23 dec 2022 10:38

Du verkar tappa bort minustecknet framför integralen när du tagit fram din primitiva funktion

offan123 3072
Postad: 23 dec 2022 10:50

Aa, nu ser jag, jag har redan brutit ut - tidigare i uppgiften så egentligen ska det stå bara 1/4

Ture Online 11108
Postad: 23 dec 2022 11:07

japp!

Du gör en variabelsubstitution, inget fel med det, men du verkar vara en rätt driven integrallösare, kanske kan du hitta den primitiva direkt om du skriver om funktionen som

(2-4x)0,5 ?

Svara
Close