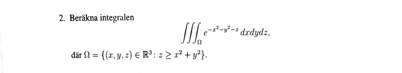
Beräkna integralen
Hej!
Jag får typ oändligheten som svar. Det verkar som att något av mina gränser inte stämmer. Sen är jag osäker om gränserna för cirkeln är från 0 till 2pi i och med att z>=x^2+y^2.


(Edit: Ändra "=" till "≤" i 2:a integralen då det är en skiva, ej en cirkel(rand))

Trinity2 skrev:(Edit: Ändra "=" till "≤" i 2:a integralen då det är en skiva, ej en cirkel(rand))
Jaha paraboloider är alltså cirkelskivor. Som du ritade så är det väl någon cirkel inuti med radien sqrt(z) så jag tänkte ändå införa polära koordinater. Sen förstår jag inte vad du menar att jag ska ändra. Men jag förstår iaf lösningen. Det är samma lösningsförslag som facit.
Kroppen/ytan är rotationssymmetrisk runt z-axeln, men radiens "tillväxt" är i stil med sqrt så det blir ej en rak cirkulär kon.
x^2+y^2=z är en rand, men det är området x^2+y^2≤z som det skall integreras över.
Trinity2 skrev:Kroppen/ytan är rotationssymmetrisk runt z-axeln, men radiens "tillväxt" är i stil med sqrt så det blir ej en rak cirkulär kon.
x^2+y^2=z är en rand, men det är området x^2+y^2≤z som det skall integreras över.
Aa jag förstår. Men du ritade r =sqrt(z) som typ rak i den där 3d koordinatsystemet.
Vad menas med "rotationssymmetrisk runt z axeln"?
destiny99 skrev:Trinity2 skrev:Kroppen/ytan är rotationssymmetrisk runt z-axeln, men radiens "tillväxt" är i stil med sqrt så det blir ej en rak cirkulär kon.
x^2+y^2=z är en rand, men det är området x^2+y^2≤z som det skall integreras över.
Aa jag förstår. Men du ritade r =sqrt(z) som typ rak i den där 3d koordinatsystemet.
Vad menas med "rotationssymmetrisk runt z axeln"?
Ja, för fixt z är radien sqrt(z) konstant, men då z ökar, ökar radien som kurvan sqrt(z), så "skålen" kröker sig som om sqrt(z) hade roterat runt z-axeln, därav rotationssymmetrisk runt z axeln".
