1
svar
21
visningar
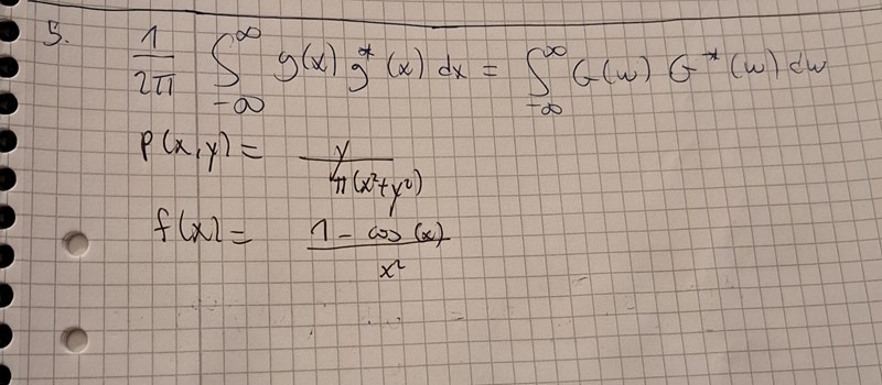
Beräkna integralen av (u(x,y))^2



Hej!
Jag misstänker att uppgiften har något med plancherel att göra , men jag har svårt att komma vidare pga jag inte känner till fourietransformen av p(x,y) samt f(x) och vet inte hur jag ska använda de här formlerna ovan
För p(x,y):
Jämför nu det sistnämnda med ditt p(x,y), dvs a = y, ω = x.
f(x) är lite mer straight-forward. Jämför med formel vii.
Så småningom är det Plancherel!