Sobdo01 behöver inte mer hjälp
Sobdo01 66 – Fd. Medlem
Postad: 18 maj 2021 18:07 Redigerad: 18 maj 2021 18:08

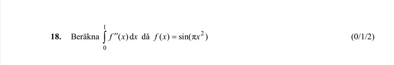
Beräkna integralen genom att derivera funktionen

Hej jag behöver hjälp med följande uppgift 

Jag deriverat f(x) och får 2pixcosx.

Sedan antar jag att de räknar med radianer: 

2picos1-2picos0= 2picospi-2picos0= -2pi-2pi=-4pi

 

Vad gör jag för fel?

Visa spoiler

Svaret är -2pi

Smaragdalena 78892 – Avstängd
Postad: 18 maj 2021 18:25 Redigerad: 18 maj 2021 18:27

Din derivata är inte korrekt.

Sobdo01 66 – Fd. Medlem
Postad: 18 maj 2021 18:36

Oj! Är det inte den inre derivatan gånger den yttre? Hur ska jag annars tänka? 

Moffen 1877
Postad: 18 maj 2021 18:42 Redigerad: 18 maj 2021 18:42
Sobdo01 skrev:

Oj! Är det inte den inre derivatan gånger den yttre? Hur ska jag annars tänka? 

Jo, men vad är den yttre? Kedjeregeln lyder alltså hx=fgxh'x=f'gx·g'xh\left(x\right)=f\circ g\left(x\right) \implies h'\left(x\right)=f'\left(g\left(x\right)\right)\cdot g'\left(x\right). Du behöver beräkna f'f' i punkten gxg\left(x\right).

Sobdo01 66 – Fd. Medlem
Postad: 18 maj 2021 18:55

Nu förstod jag tack! Derivatan är 2pix(cos(pix^2)) vilket gav mig -2pi! 

Smaragdalena 78892 – Avstängd
Postad: 18 maj 2021 18:58 Redigerad: 18 maj 2021 18:59
Sobdo01 skrev:

Oj! Är det inte den inre derivatan gånger den yttre? Hur ska jag annars tänka? 

Du måste ha rätt argument för den yttre derivatan. πx2\pi x^2 kan inte bara försvinna. (Ditt senaste inlägg fanns inte när jag började skriva det här.)

Svara
Close