Beräkna Integralens värde

Jag har då tänkt att eftersom integralen ska till x=4, så har jag gjort om x=4 till (x-4). Detta vet jag inte är rätt, men jag vet inte hur jag ska börja med detta problem. Jag vet hur man räknar ut integralen mha Integralkalkylens fundamentalsats, däremot vet jag inte hur man gör om man ej vet funktionen innan man gör om det till primitivt.
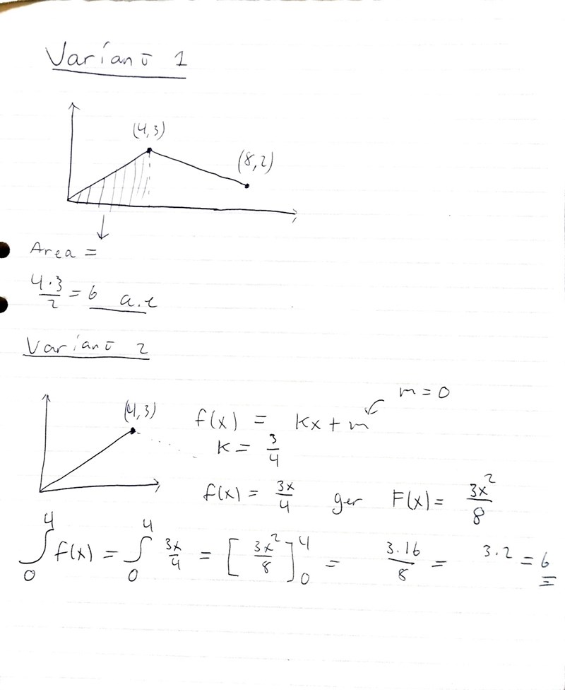
Tack så mycket! Jag hade glömt bort att man bara kunde stoppa in Y och X värdena i y = kx+m.
Wille2006 skrev:Tack så mycket! Jag hade glömt bort att man bara kunde stoppa in Y och X värdena i y = kx+m.
Glöm inte att skriva dx efter integralen som jag gjorde! Och glöm inte + C

Fast hur är det på b) frågan?
Jag tänker att:
f(x) = (3/4)x
f'(x) = 3/4 = 0.75
f'(5) = ?
Men jag får inte ut något x i f'(x), vilket då betyder att jag inte kan stoppa in 5 i f'(x)
Wille2006 skrev:
Fast hur är det på b) frågan?
Jag tänker att:
f(x) = (3/4)x
f'(x) = 3/4 = 0.75
f'(5) = ?
Men jag får inte ut något x i f'(x), vilket då betyder att jag inte kan stoppa in 5 i f'(x)
f(x) = 3x/4 gäller ju bara fram till x=4. Efter det blir f(x) något annat. Försök sätta f(x) = kx+m igen och räkna ut vad m och k blir för linjen, om man BARA kollar på linjen från x=4 till x=8.
Allt före x=4 är alltså irrelevant nu

