Beräkna intergralen_2

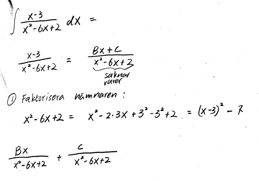
Jag börjar med att partialbråkuppdelar denna rationell uttryck.

Men hur ska ja fortsätta?
Ta reda på värdet på konstanterna B och C.
Hur???
Är inte B=1 och C=-3 ??
När du löst det med partialbråksuppdelning kan du titta i spoilern nedan
Visa spoiler
Integrandens nämnare har sin derivata (nästan) i täljaren.
Då ska man alltid försöka med F(x) = ln(nämnaren)* (någon konstant)
SÅ jag ska bara lösa den här integralen?

Men andra termen blir skit svårt att lösa.
Marcus N skrev:Men andra termen blir skit svårt att lösa.
Läs spoilern i inlägg #4
Du skriver att nämnaren n(x)= x2 -6x+2 saknar rötter och får krångel. Men n(3)=-2 och n(10)=42 och n(x) är kontinuerlig i hela R medför att den måste ha minst ett nollställe. Kör pq.
Tomten skrev:Du skriver att nämnaren n(x)= x2 -6x+2 saknar rötter och får krångel. Men n(3)=-2 och n(10)=42 och n(x) är kontinuerlig i hela R medför att den måste ha minst ett nollställe. Kör pq.
Ja, med "saknar rötter" menade ja att det går inte dela den till två första gradspolynom.
Marcus N skrev:Tomten skrev:Du skriver att nämnaren n(x)= x2 -6x+2 saknar rötter och får krångel. Men n(3)=-2 och n(10)=42 och n(x) är kontinuerlig i hela R medför att den måste ha minst ett nollställe. Kör pq.
Ja, med "saknar rötter" menade ja att det går inte dela den till två första gradspolynom.
Men det går,
och du har i princip nästan gjort faktoriseringen: x^2-6x+2=(x-3)^2-7 skriver du.
Då är du ett steg från faktoriseringen (hint: konjugatregeln).