Beräkna K

Jag får inget siffervärde utan:

Står det något mer i uppgiften? Som den är formulerad är den inte lösbar, vilket du har visat med din (korrekta) uträkning.
Nej, det var bara det. Här är facit om det kan hjälpa:


Då är det fel i uppgiften, om det inte står något mer än det du har postat. Facit har räknat med en molvolym på 24,5 dm3/mol men detta gäller bara vid atmosfärstryck och rumstemperatur. Ingenstans i uppgiften står att man ska göra dessa antaganden. Tvärt om skulle man kunna anta mycket högre tryck och temperatur eftersom den här reaktionen troligen är något som äger rum i en reaktor.
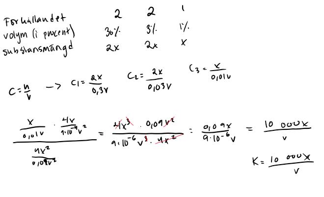
När jag tittar på din lösning en gång till ser jag att du har gjort fel när du har ställt upp uttrycken för de olika koncentrationerna. Det fiffiga med volymprocent är att det är samma sak som molprocent, en följd av ideala gaslagen. Om den totala mängden gas är x mol har du 0,30x mol svaveltrioxid, 0,03x mol svaveldioxid och 0,01x mol syrgas. Den totala volymen är V, så koncentrationerna blir 0,30x/V mol/dm3 osv.
Om du korrigerar detta och gör samma antagande om molvolymen som facit så bör det bli rätt.
Jag förstår inte varför de i facit inte tar hänsyn till molförhållandet när de räknar substansmängden 
Molförhållandet är bara intressant om man har en blandning där det inte råder jämvikt. Då behöver man beräkna ändringrna i substansmöngd utifrån molförhållandet för att ta reda på mängderna som finns vid jämvikt. Men i detta fall rådet jämvikt redan från start, så det är ingen jämvikt som behöver ställa in sig. "Ändringen" är noll för samtliga ämnen.