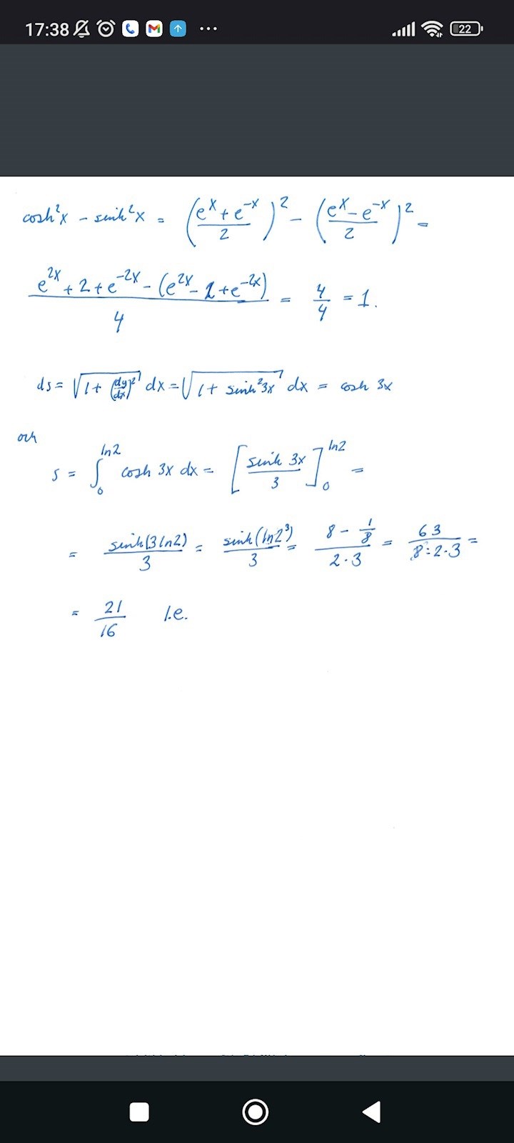
Beräkna kedjans längd
Hej! Jag försöker lösa denna fråga från en gammal tenta (uppgift 6 b) men förstår inte hur de gör efter att de kommit fram till sinhln2^3? Jag tänker mig att de kanske sätter in (e^(ln2) - e^(-ln2))/2 istället för sinh så vi får
(e^(ln2) - e^(-ln2))/2 * ln2^3
Men jag är inte säker på om de är så de gjort och om det är så så vet jag inte hur man gör sedan för att ta sig vidare:( hur kommer de fram till (8 -1/8)/2*3?
Här är frågan:

Här är facit:

Tack på förhand!
Ja, eln(8) är 8.
Det är sant:) men varför får de det till e^(ln8)? 🤔 Det är väll e^(ln2) och e^(-ln2)?
I sinh(ln(23)) är det ln(23). Var du med på uträkningen fram till och med sinh?
Jo fram till och med sinh är jag med:) men inte sen:(
Enligt en logaritmlag är och tänk på att det är 3x, dvs
, då
Jaaa justee tack nu är jag med!:D