3
svar
81
visningar
Bayan Ali behöver inte mer hjälp
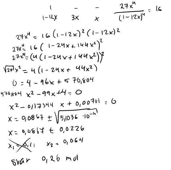
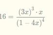
Beräkna konc

Min lösning:

Fattar inte varför det blir fel. I facit så har de skrivit:
De har alltså tagit 4x och inte 12x som jag då. Men borde de inte 3*4 alltså 12 med tanke på att det krävs 3x och koefficienten framför A är 4?
Varför får du 1-12x för jämvikten för A?
Jag_tänkte_så_här:
För att bilda 1B krävs det 3x
och eftersom vi har 4A -> 3x*4 -> 1-12x
Jag skulle säga att tabellen bör se ut såhär:
| 1 | - | - |
| 1-4x | 3x | x |
För varje mol C som bildas så har 4 mol A förbrukats.