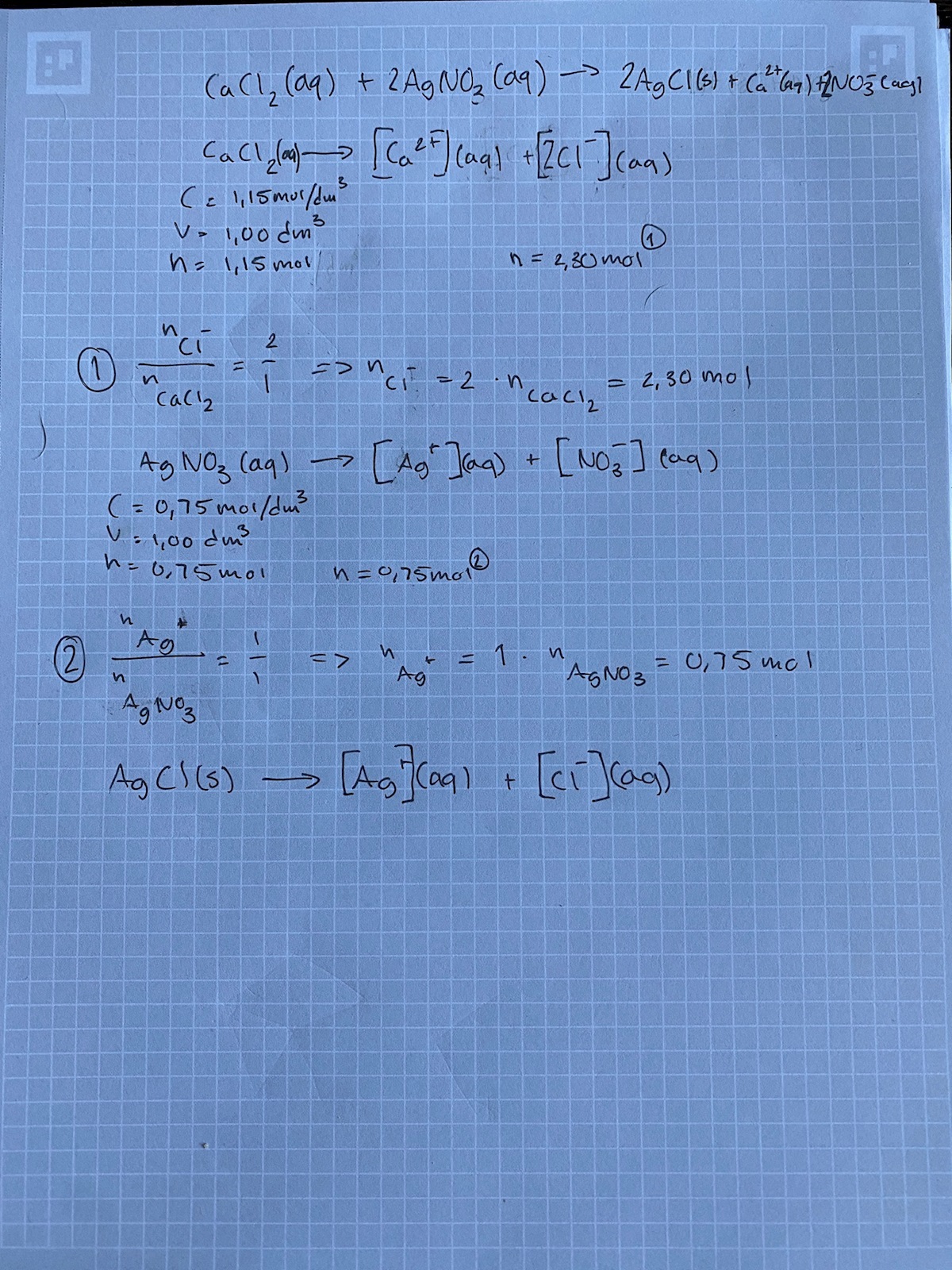
Beräkna koncentration av fria joner


Så jag har tagit fram mängden mol i de olika koncentrationerna som sker. Men vet inte hur jag ska tänka för att få fram koncentrationen av de fria kloridjonerna. Någon som kan ge mig en knuff?
Är silverjonerna eller kloridjonerna i överskott?
Teraeagle skrev:Är silverjonerna eller kloridjonerna i överskott?
Kloridjonerna är i överskott
Hur stort är överskottet?
Teraeagle skrev:Hur stort är överskottet?
Överskottet är 2,30mol medan underskottet är 0,75mol
Nja, du har 2,30 mol kloridjoner och 0,75 mol silverjoner. Enligt reaktionen längst ner på ditt papper (som du har skrivit åt fel håll) krävs 1 mol silverjoner för reaktion med 1 mol kloridjoner. Det innebär att det krävs 0,75 mol kloridjoner för fullständig reaktion med alla 0,75 mol silverjoner. När den reaktionen har skett har man kvar 2,30-0,75=1,55 mol kloridjoner, d.v.s. överskottet av kloridjoner.
Det är dessa kloridjoner man syftar på när man skriver fria kloridjoner, dvs de som inte har bundits i fällningen av silverklorid utan finns kvar i lösningen. Vilken koncentration motsvarar överskottet?
Jag lyckades lösa uppgiften nu efter lite om och men. Koncentrationen som motsvarar överskottet är kalciumkloriden medan koncentrationen som är i underskott motsvarar silvernitratet. Genom att först beräkna substansmängdförhållandet mellan kalciumkloridlösningen och silverkloriden till 2:1 får man att substansmängden kalciumklorid är 2,30mol. Det är vad vi börjar med. Medan silvernitratet substansmängdförhållande med silverkloriden är 2:2 så kommer substansmängden bli 0,75 mol. Det är vad som krävs för fällningen ska bildas.
Genom att subtrahera det vi började med med vad som bildas får vi mängden kloridjoner som är kvar efter reaktionen. Alltså 1,55, precis som du skrev. 1,55/2,00 = 0,775 mol/dm3 vilket är mängden fria kloridjoner i lösningen.
Tack förresten att du påpeka att jag skrivit reaktionen åt fel håll. Har jag tänkt rätt i det jag har skrivit nu?
Du verkar ha kommit fram till rätt svar men det här stycket förstår jag inte:
Koncentrationen som motsvarar överskottet är kalciumkloriden medan koncentrationen som är i underskott motsvarar silvernitratet.
Sen brukar man inte säga att förhållandet är 2:2, utan det är samma sak som att säga att förhållandet är 1:1.
Jag beräknade kalciumkloridlösningen först och använde substansmängden för att se hur mycket massa silverklorid som bildades. Sedan lika för silvernitratlösningen, där massan för silverklorid blev mindre. Slutsatsen jag tog var att silvernitratlösningen var i underskott då substansmängden för den tog slut först.
Jag borde skrivit lösningen istället för koncentration märker jag nu.
Ja så kan man också göra, men det blir en omväg eftersom det räcker att kolla på ekvivalensförhållandet i reaktionsformeln och hur stor substansmängd man har av respektive reaktant. Men om man är osäker på det metoden kan man göra som du gjorde och beräkna hur mycket produkt som bildas i respektive fall.
Teraeagle skrev:Ja så kan man också göra, men det blir en omväg eftersom det räcker att kolla på ekvivalensförhållandet i reaktionsformeln och hur stor substansmängd man har av respektive reaktant. Men om man är osäker på det metoden kan man göra som du gjorde och beräkna hur mycket produkt som bildas i respektive fall.
Skulle du vilja visa vad du menar med den metoden? Främst för att jag blir osäker, vid dessa fall, när det är något i underskott/överskott. Hur ska man tänka när man jämför?
Teraeagle skrev:Nja, du har 2,30 mol kloridjoner och 0,75 mol silverjoner. Enligt reaktionen längst ner på ditt papper (som du har skrivit åt fel håll) krävs 1 mol silverjoner för reaktion med 1 mol kloridjoner. Det innebär att det krävs 0,75 mol kloridjoner för fullständig reaktion med alla 0,75 mol silverjoner. När den reaktionen har skett har man kvar 2,30-0,75=1,55 mol kloridjoner, d.v.s. överskottet av kloridjoner.
Det är dessa kloridjoner man syftar på när man skriver fria kloridjoner, dvs de som inte har bundits i fällningen av silverklorid utan finns kvar i lösningen. Vilken koncentration motsvarar överskottet?
Då gör du som jag har gjort här ovan. För fullständig reaktion med 0,75 mol silverjoner krävs 0,75 mol kloridjoner, men vi har 2,30 mol tillgängligt vilket innebär att kloridjoner är i överskott.
Man kan också utgå från det andra ämnet, dvs för fullständig reaktion med 2,30 mol kloridjoner krävs 2,30 mol silverjoner. Vi har dock bara 0,75 mol silverjoner tillgängligt, vilket innebär att silverjoner är i underskott.
Teraeagle skrev:Teraeagle skrev:Nja, du har 2,30 mol kloridjoner och 0,75 mol silverjoner. Enligt reaktionen längst ner på ditt papper (som du har skrivit åt fel håll) krävs 1 mol silverjoner för reaktion med 1 mol kloridjoner. Det innebär att det krävs 0,75 mol kloridjoner för fullständig reaktion med alla 0,75 mol silverjoner. När den reaktionen har skett har man kvar 2,30-0,75=1,55 mol kloridjoner, d.v.s. överskottet av kloridjoner.
Det är dessa kloridjoner man syftar på när man skriver fria kloridjoner, dvs de som inte har bundits i fällningen av silverklorid utan finns kvar i lösningen. Vilken koncentration motsvarar överskottet?
Då gör du som jag har gjort här ovan. För fullständig reaktion med 0,75 mol silverjoner krävs 0,75 mol kloridjoner, men vi har 2,30 mol tillgängligt vilket innebär att kloridjoner är i överskott.
Man kan också utgå från det andra ämnet, dvs för fullständig reaktion med 2,30 mol kloridjoner krävs 2,30 mol silverjoner. Vi har dock bara 0,75 mol silverjoner tillgängligt, vilket innebär att silverjoner är i underskott.
Kan man göra såhär för att få fram överskott/underskott:
1,15mol kalciumklorid delat med koefficienten 1, vilket motsvarar 1,15mol kalciumklorid. 0,75mol silvernitrat delat med koefficienten 2, vilket motsvarar 0,375mol. Kalciumklorid är i överskott och silvernitrat i underskott
Inte helt lätt att följa vad du gör där…
Teraeagle skrev:Inte helt lätt att följa vad du gör där…
1CaCl2 + 2AgNO3 -> 2AgCl + Ca(NO3)2
Antalet mol delat på siffran framför reaktanterna var det jag gjorde
Skriv reaktionsformeln utan åskådarjoner, så blir det inte så rörigt.
Smaragdalena skrev:Skriv reaktionsformeln utan åskådarjoner, så blir det inte så rörigt.
Okej, men funkar det att ta fram underskott/överskott som jag skrev nån rad över? Att man delar mol med koefficienten framför?
Ironmann skrev:Smaragdalena skrev:Skriv reaktionsformeln utan åskådarjoner, så blir det inte så rörigt.
Okej, men funkar det att ta fram underskott/överskott som jag skrev nån rad över? Att man delar mol med koefficienten framför?
Det är bättre om du lär dig räkna med begränsande ämne (det andra ämnet är i överskott). Det är svårt att förstå vad "underskott" skulle betyda i verkligheten - ämnena reagerar ju så långe det finns av båda, sedan reagerar det inte mer (det är lite krångligare om det handlar om jämvikter).
Smaragdalena skrev:Ironmann skrev:Smaragdalena skrev:Skriv reaktionsformeln utan åskådarjoner, så blir det inte så rörigt.
Okej, men funkar det att ta fram underskott/överskott som jag skrev nån rad över? Att man delar mol med koefficienten framför?
Det är bättre om du lär dig räkna med begränsande ämne (det andra ämnet är i överskott). Det är svårt att förstå vad "underskott" skulle betyda i verkligheten - ämnena reagerar ju så långe det finns av båda, sedan reagerar det inte mer (det är lite krångligare om det handlar om jämvikter).
Absolut, men för att ens kunna räkna med den begränsade reaktanten måste jag först identifiera vilken det är, därav frågan jag ställde ovan om metoden jag använde funkar för att ta fram vad som är överskott.
Du krånglar till det så förfärligt! Gör så här istället:
Ag+(aq) + Cl-(aq) => AgCl(s), d v s reaktionsformeln betyder att 1 mol silverjoner reagerar med 1 mol kloridjoner. (Det är möjligt att din lärare hellre vill ha reaktionsformeln på den form du har skrivit, du borde ha märkt vilket! Men jag tycker att då är det svårt att se vad som händer.)
Du har 0,75 mol silverjoner och 2,30 mol kloridjoner. Det betyder att det bildas 0,75 mol silverklorid, och det finns 1,55 mol kloridjoner kvar i lösningen. Lösningen har volymen 2 dm3, så koncentrationen av kloridjoner är 0,775 mol/dm3.
Ja okej, det där ser mycket tydligare ut. Det håller jag med om. Tack Teraeagle och smaragdalena för era utförliga svar! Supertacksam!