Beräkna koncentrationen vid nytt jämvikt
Hej!
Jga har kört fast vid en uppgift. Är inte så bra på matte och får bara inte till att räkna ut de nya substansmängderna. Uppgiften lyder som följande:
För jämvikten 2NO2(g) ⇄ 2NO(g) + O2(g) är jämviktskonstanten 0,10 vid 2000 K. Man blandar 0,5 mol av vardera NO2, NO och O2 i ett reaktionskärl med volymen 2,50 dm3. Blandningen upphettas till 2000 K.
a) Råder jämvikt i den givna blandningen? Om inte åt vilket håll går reaktionen?
K = resultanter / produkter = [NO/v]^2 * [O2/v] / [NO2/v]^2 =
= 0,04
0,1 > 0,04 --> K > Q
Svar: Nej, det råder inte jämvikt. Reaktionen är förskjuten åt höger.
Den här delen känner jag mig hyfsat säker på (?).
b) Hur stor substansmängd kommer att finnas av de olika ämnena när jämvikt ställt in sig? OBS! Skriv upp jämviktsekvationen innan du sätter in värden samt visa hur du räknar ut ekvationen i steg!
K > Q à Resultanter måste öka!
NO2 NO O2
Före 0,5 0,5 0,5
Ändring -x + x +x
Vid jämvikt 0,5 – x/v 0,5 + x/v 0,5 + x/v
Vilket jag får till:
=0,04
HUR kan jag lösa detta uttryck?! Det är här jag fastnar mest. Är verkligen inte bra på matte så för mig blir det är en meterlång ekvation. Eller kan man lösa det med räknaren på något sätt?
Är tacksam för all hjälp!
Välkommen till Pluggakuten!
Du har inte fått fram rätt uttryck. Det bildas bara hälften så mycket syrgas som NO. Ändringen på rad 2 skall alltså vara -x x x/2 och så får du motsvarande skillnad på nästa rad också. Dessutom är jämviktskonstanten 0,10 enligt uppgiften, inte 0,04 som du har skrivit.
Börja med att multiplicera båda sidor med . Sedan skulle jag multiplicera båda sidor med 2,5^3 för att bli av med nämnarna, och sedan är det dags att multiplicera ihop allting.
Visa hur långt du kommit, så kan vi hjälpa dig vidare därifrån.
Hej!
Först, stort tack för snabb svar! :)
"Det bildas bara hälften så mycket syrgas som NO. Ändringen på rad 2 skall alltså vara -x x x/2."
Q (0,04) är ju mindra än K (0,1). Då står det i kemiboken (s. 45) att "för att jamvikt ska uppnås måste koncentrationerna av ämnena i täljaren (ämnena till höger i reaktionsformeln) öka och koncentrationen av ämnena i nämnaren (ämnena till vänster i reaktionsformeln) minska."
Det var därför jag skrev "0,5 - x" för NO2 (till vänster i reaktionsf.) och "0,5 + x" för både O2 och NO. Varför ska O2 och NO "beter" sig olika (O2: = 0,5 -x, NO 0,5 + x, som du föreslår om jag förstår rätt)?
Titta på reaktionsformeln! När 2 mol NO2 sönderfaller bildas det 2 mol NO och 1 mol O2. Alltså bildas det bara hälften så mycket syrgas som kväveoxid.
Så det som står i kemiboken stämmer inte ordagrant (koncentrationerna av ämnENA i täljaren MÅSTE öka)? Jag tolkade det som om alla ämnen i täljaren måste öka!
Så nu ser det ut såhär:

=0,1 (stryk ((0,5-x)/2,5)2)
= 0,1 (omformulera så att 2,5 står framför (0,5 +/-x))
= 0,1 (Jag menar (0,5 + x)2 förstås, skrev fel när jag fotade...)
(stryk 2,5)

Vilket blir 0,4 *(0,5 + x)2 = 0,1 * (0,5 - x)
0,4 * (0,25 + x + x2) = 0,05 - 0,1x
0,4x2 + 0,5x + 0,05 = 0,05 - 0,1x
x2 + 1,25x + 0,125 = 0
p = 1,25, q = 0,125
Jag får för x1 = -0,11 och x2 = -1,14
-1,14 skulle överstiga substansmängden 0,5, så jag antar att det är det orimliga svaret.
Då blir det
Substansmängd vid jämvikt
NO2: 0,5 - (-0,11) = 0,61
NO: 0,5 + (-0,11) = 0,37
O2: 0,5 - (-0,11) = 0,61
... vilket är svaren för b.
Snälla snälla snälla säg det är rätt!
Nej, det är inte rätt. Fortfarande fel uttryck. Det stämmer inte med reaktionsformeln.
2NO2 ⇄ 2NO + O2
Före jämvikt: 0,5 0,5 0,5
Förändring: -2x +2x +x
vid jämvikt: 0,5-2x 0,5+2x 0,5+x
Jaha det var ju synd. Är det alltid så att man måste ta x gånger talet som står framför ämnen? Så om det hade varit 2NO2 ⇄ 3NO + O2, hade det då varit +3x för NO?
Ja.
Kommer du vidare med uppgiften nu?
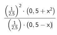
Hej! Jag sitter just nu med samma uppgift som ni har diskuterat här. Jag är på del b och har kommit så långt att jag har ställt upp ekvationen såhär (hoppas att det är rätt) :
K= (0,5+2x/2,5)^2* (0,5+x/2,5) / (0,5-2x/2,5)^2
Allt det här ska ju då bli 0,1. För mig är de mer de matematiska kunskaperna som sätter stopp. Hur bryter jag ut x här? Hoppas att jag kan få lite hjälp eller tips på vägen.
Ditt uttryck är inte korrekt - troligen menar du rätt, men så som det står nu fattas det parenteser inuti parenteserna.
Börja med att multiplicera båda sidorna med . Multiplicera sedan båda sidor med 2.5^2. Multiplicera ihop. Visa vad du har kommit fram till när du kommit så här långt, så kan vi hjälpa dig vidare.
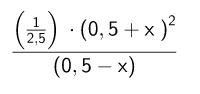
Tack för ditt svar! Hittade var man kan infoga ekvationer nu. Blir det här rätt uppställt?
Om man då multiplicerar med nämnaren på båda sidor blir det
Sen blir det lite klurigare för mig, blir det såhär?
Jag tänker på regeln .
Blir kanske (0,5+2x) och (0,5-2x) upphöjt till två då också i och med att de är "a"?
Det var många år sedan jag pluggade matte så kommer inte riktigt ihåg hur man gör.
Om du inte känner dig säker på detta, så är det viktigaste för att du skall klara dina kemistudier att du repeterar matematiken. Du bör titta på ekvtionslösning och potensräkning i Ma1 och andragradsekvationer i Ma2.
När du multiplicerar allt med 2,52 så försvinner nämnarna, och den enda faktorn 2,5 som blir kvar är den sm är multiplicerad med parentesen (0,5+x), eftersom den bara hade en 2,5 i nämnaren. Så när du har multiplicerat med 2,52 blir ekvationen
(0,5+2x)2.2,5.(0,5+x)=0,1.(0,5-2x)2. Nästa steg är att använda kvadreringsreglerna på de båda parenteser som skall kvadreras. Vad få du då?
Då är det min tur igen! 😂
jag får:
0,1*(0,25-2x+4x2) = (0,25+2x+4x2)*(0,5+x)*2,5
Det är ju den här som är mest klurig: (0,25+2x+4x2)*(0,5+x)*2,5
Om jag multiplicera (0,25+2x+4x2)*(0,5+x) så får jag ju en tredjegradsekvation... Är det verkligen meningen med uppgiften?
Får nog repetera lite ja. Har kunnat lösa de andra uppgifterna i boken men de har varit mycket enklare än denna. Är tacksam att få hjälp här.
Så, om jag använder kvadreringsreglerna får jag:
Om jag sedan multiplicerar in 2,5 och 0,1 i parenteserna och förenklar får jag:
Stämmer det så långt?
Ja, det blir en tredjegradsekvation, men sådana kan man lösa med hjälp av miniräknaren. Multiplicera ihop och förenkla.
Så om man multiplicerar parenteserna på vänstersidan med varandra får jag:
Förenklat blir det:
Om jag sen flyttar över högersidan och byter tecken får jag:
När jag ritar grafen till denna funktionen i min räknare blir det en graf med en terasspunkt, kan det verkligen stämma?