2
svar
126
visningar
Beräkna kraften


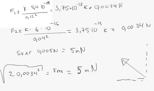
Jag är osäker på om jag har löst a rätt och vet ej hur jag ska göra på b
Beräkningen ser ok tycker.
Dock är bilden inte helt rätt, tänkt på åt vilken håll P rör sig till de andra laddningarna. Den ena är positiv och den andra negativ.
På b) där du ska rita fältet.
- Börja med fältet närmst 20nC och -180nC laddningarna. När dessa punkter kan du ignorera påverkar av de andra. Hur ser fältet ut runt en laddad punkt?
- Sen vet du riktningen på fältet i punkten P eftersom det är det du har räknat ut. Tänk bara på riktningen av fältet kontra riktningen på kraften du räknar ut i a).
- Sen binder du ihop fältet runt de 3 punkterna på ett rimligt sätt
Jag hänger inte riktigt med